3
svar
121
visningar
Rätt!
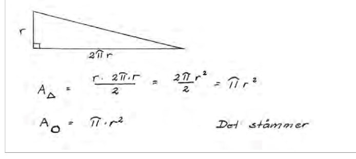
Kan man förbättra lösningen på något vis. Eller använda bättre begrepp.
Använd fler ord. Skriv att "Triangelns bas är lika med cirkelns omkrets, alltså2pi. Triangelns are är ... Cirkelns area är...". Bra att du har ritat!

