Är talet rationellt?
OBS: frågan passar kanske bättre i matematik 5, men är ifrån baskurs i matematik på universitet.
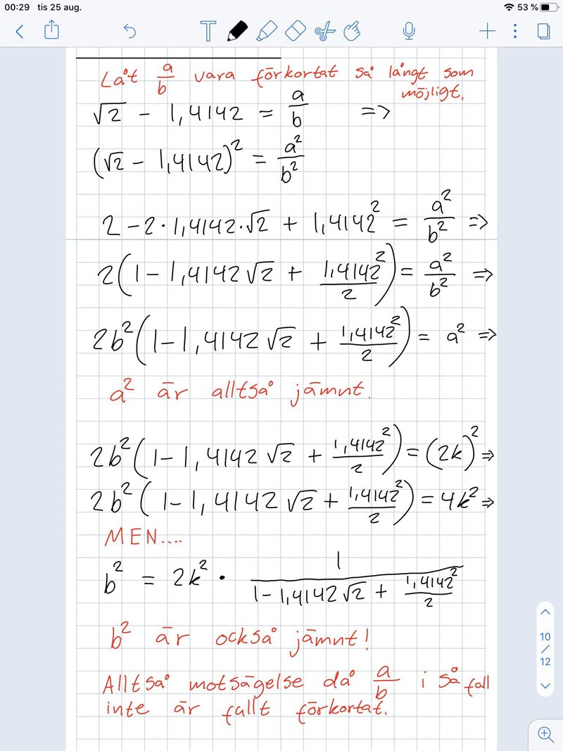
Hej! Har fastnat på denna lite klurigare frågan och vet inte om jag tänkt helt fel eller är på rätt spår. Några tips? 
Hej Campeon,
Nej, det stämmer inte att termerna måste vara rationella tal för att deras differens ska vara ett rationellt tal. Till exempel är differensen av de två irrationella talen och lika med det rationella talet
Hm, har du något tips om hur jag kan börja?
Din uppgift studerar differensen mellan ett irrationellt tal och ett rationellt tal. Är differensen ett rationellt tal?
Anta att differensen faktiskt är ett rationellt tal. Vad har detta då för konsekvens?
3=2* 1.5 betyder det att 3 är ett jämnt tal?
Nej, det är inget jämnt tal, haha. Förstår inte riktigt hur jag ska tänka.
Det jag försökte illustrera med mitt exempel var att du faktoriserade ut 2 och fick något som kanske inte var ett heltal i parentesen. Jag antar att du försökte använda idén när man visade att sqrt(2) är irrationell, men detta är faktiskt mycket enklare. Antag att sqrt(2)-14142/10000=p/q, vad händer då om man får sqrt(2) ensamt på en sida av likheten?
Campeon123 skrev:Nej, det är inget jämnt tal, haha. Förstår inte riktigt hur jag ska tänka.
Såhär tänkte jag att du skulle använda min fråga till dig.
Anta att är ett rationellt tal. Då är också ett rationellt tal, eftersom en summa av två rationella tal är ett rationellt tal. Men då är ett rationellt tal, vilket du vet inte är fallet. Det var därför fel att anta att var ett rationellt tal.
