2
svar
83
visningar
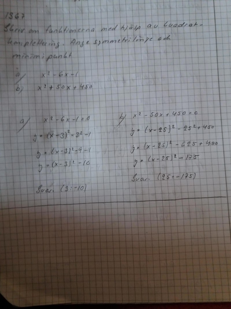
Du har räknat helt rätt och tydligt, men det vore ännu bättre om du svarar ordentligt på det man frågar om, alltså för a-uppgiften
SVAR: , symmetrilinje x = 3, minimipunkt (3,-10).
Tack Magdalena för det här!
Jag har av någon anledning känt mig sömnig idag.
