Arbete (Stokes)
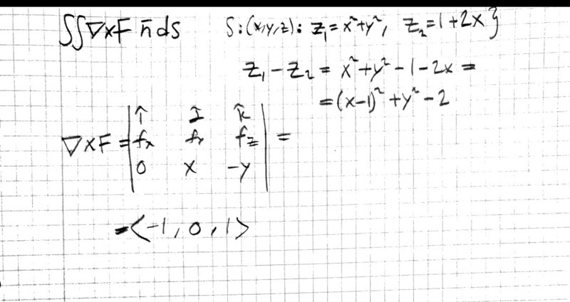
Hur gör hittar jag skärningen? sen kvadratkomplettering?


Ja så kan du göra.
Smutsmunnen skrev:Ja så kan du göra.
Hur hittar jag normalvektorn? Jag fick n=(-2,0,1) ur planets ekvation är det rätt?
sen förstår jag inte riktigt när jag ska normera en normalvektor och när jag inte ska normera... hittills har jag löst uppgifter där jag normerade normalen och löst andra där jag inte behövde göra en normering... finns det något knep?...
Tillägg: 28 sep 2021 18:51
Jag har valt n =(-2,0,1) och inte n=(2,0,-1) för att normalen måste peka i positiv k-tak, är det rätt tänkt?

Notera att i formeln så är en enhetsvektor. Din vektor är inte en enhetsvektor.
PATENTERAMERA skrev:Notera att i formeln så är en enhetsvektor. Din vektor är inte en enhetsvektor.
Men svaret ska vara enligt facit 😳, om jag normerar vektorn får jag ett helt annat svar :(
Och även här så har jag fått rätt på två uppgifter, där ena gången använde jag enhetsnormalen och andra gången bara normalen. Jag är så förvirrad..
Det beror på att du gör två fel som tar ut varandra. Du skall använda enhetsnormalen, så du använder en för stor normal. Men sedan skall du räkna ut arean S av den sluttande ytan i din figur. Istället så räknar du ut arean av dess projektion S’ på xy-planet, så du underskattar arean. Du har tur, och de två felen tar ut varandra. Eller var det skicklighet?

Kanske lite skicklighet :) , då jag tittade på facit och försökte få det till att bli :').
Men ok. Så vi har nu
Hur ska jag göra med dS? ? Hur begränsar jag r i så fall?
Du kan tex parametrisera.
(x, y, z) = (u, v, 1 + 2u), (u-1)2 + v2 ≤ 2.
Sedan har du som vanligt
= (+/-)dudv.
Alternativt kan du inse att .
Vad blir gränserna?
Det skrev jag. Integrationsområdet i uv-planet är cirkelskivan som jag beskrev med olikheten.
Men du behöver inte integrera eftersom du får konstant gånger, där integralen bara är arean av cirkelskivan i uv-planet, som du kan utantill.
Arean av cirkelskivan: . Sen tar jag rot F skälart då får jag
Så svar blir:
Hade gärna sett hur du löser den :(
Du använder arean S’, se min figur. Du skall använda arean S som är S’/(). Då blir det rätt skall du se.
Men du skrev ju i #10 att integralen är bara arean av cirkelskivan :((
Godnatt!
Vi kan göra på två sätt.
Om du parametriserar (vi låter x och y vara parametrar som vi döper om till u och v)så har du integralen nedan. Integrationsområdet är cirkelskivan i uv-planet som har arean S’. Vi kan flytta ut integranden då den är en konstant.
.
Om du inte parametriserar så har du integralen nedan. Integrationsområdet är då den sluttade ytan i figuren (se #6) som har arean S. Vi kan flytta ut integranden då den är konstant.
. Det är kanske lite knepigt att direkt räkna ut S, men om man inser att det finns ett enkelt samband mellan S och S’ (se #12) så kan man enkelt räkna ut S då S’ bara är arean av en cirkelskiva som vi lätt kan räkna ut.
Klart?
Klart! Tack för ditt tålamod PATENTERAMERA! Jag har parametriserat området med och räknade ut normalen och sedan rot F skalärt n, och tillslut integrerade från 0 till med radie från 0 till .
Ja, det fungerar också. Dock blir integranden inte en konstant, men integralen blir enkel, så inga problem.