Arbetspunkt, bipolär transistor
Jag har som uppgift att bestämma arbetspunkterna U_CE och I_C i den bipolära transistorn i bilden som bifogas. Man får veta rätt många komponentvärden runt om transistorn, så det borde kunna ske numeriskt. Jag visar hur jag tänkt på mina beräkningar i den andra bilden också. Dock är jag inte helt säker på svaren jag kommit fram till.


Förhoppningsvis syns att jag har försökt rita ett likströmsschema med kapade kapacitanser och att jag ansatt de värden man får i uppgiften, samt de antaganden man i denna kurs får göra för bipolära transistorer (högst upp på bilden).
Min tankegång är att U_CE helt enkelt är den matningsspänning som kommer direkt in i NPN-transistorn via kollektorn, men jag är inte helt säker på detta. På de exempel jag hittat i vår kursbok finns alltid en resistans R_C där och påverkar det hela, ofta genom någon sorts spänningsdelning med andra resistanser.
I_E kan bestämmas med Ohms lag, och då förstärkningen av basströmmen till kollektorströmmen gavs i uppgiften kan man då lösa ut I_C rätt enkelt.
Är detta en rimlig lösningsväg eller har jag förstått något lite tokigt?
Välkommen till Pluggakuten!
UCE är inte samma som matningsspänningen E. Du får ett spänningsfall över RE också som är IERE.
Din uträkning av IE stämmer inte. Spänningen över RE är inte UBE. Den finns mellan bas och emitter, precis som du ritat i figuren.
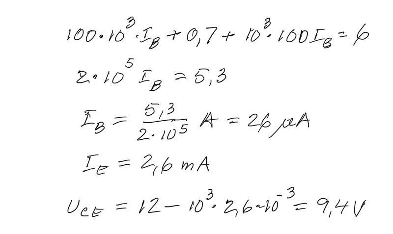
Tack för era svar. Jag tror mig förstå vad ni menar och har gjort om enligt nedan. Blir det rätt motiverat nu?
Jo det ser bra ut.
Enda anmärkningen är KVL-formeln. Det ska väl vara REIc, inte R1IC?
Där har du rätt. R_E sitter under emittern och inte R_1. Jag lyckades blanda ihop dem i mitt huvud :).
Jag tänker mig att man kan sätta R_E gånger I_E i den formeln då och använda sambanden I_C+I_B = I_E samt I_C = 100I_B, om man vill vara supernoggrann? Såklart är I_B så mycket mindre att det inte nödvändigtvis spelar så mycket roll, men eftersom det var givet i uppgiften kan jag arbeta in det där, antar jag.
Tack för hjälpen!
Redigerar och säger att om man gör så blir skillnaden ca 0.015 V resp 0.015 mA från vad det annars vore. Dvs, ingen större skillnad.
