3 svar
64 visningar
Solstråle. behöver inte mer hjälp
Solstråle. 5
Postad: 14 jan 21:44

arcsinus - graf

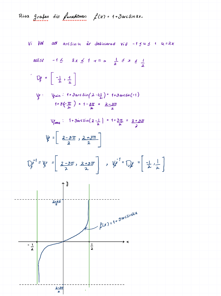
Hej jag har fått denna fråga: Rita grafen till funktionen f(x) = 1 + 3 arcsin2x. Rita en tydlig figur, så att definitionsmängd och värdemängd enkelt kan avläsas.

 

jag känner mig förvirrad med min lösning och facits:

Laguna 32140
Postad: 14 jan 21:57

Betrakta x = 0.

Solstråle. 5
Postad: 14 jan 22:01
Laguna skrev:

Betrakta x = 0.

x=0 ger y=1. Gör detta till att min värdemängd är fel? räcker det med att jag flytter min graf ett steg år vänster isåfall?

Laguna 32140
Postad: 15 jan 07:38

Var är origo i din graf?

Svara
Close