arctan(x)=arccos(2x) förenkling av svar
Lös ekvationen arctan(x)=arccos(2x)
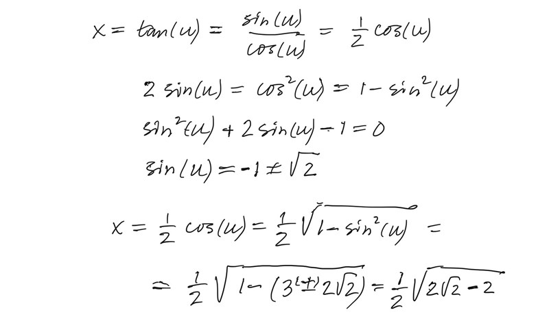
Har jag gjort rätt i bifogad beräkning fastän den inte stämmer med facit?
I så fall, hur förenklar jag mitt svar för att få det facit kom fram till?
Jag har plus/minus i slutet på min beräkning men facit bara positivt svar.
Kan någon förklara för mig varför?

Du har inte gett ett talvärde för x, bara en ny ekvation.
Din ekvation som du skriver precis ovanför din gröna ruta är rätt
Men den ska du lösa
Mitt svar (i gröna rutan) har plus/minus och är fortfarande inte samma som facit.
Är det meningen att jag ska bestämma värdemängden så jag bara får ett positivt svar?
Tofsvipa skrev:Mitt svar (i gröna rutan) har plus/minus och är fortfarande inte samma som facit.
Är det meningen att jag ska bestämma värdemängden så jag bara får ett positivt svar?
Ditt svar är rätt - även svaret med minustecknet framför rottecknet
Fel i facit, enligt mig
arctan av ett negativt tal ligger mellan och 0. arccos av ett negativt tal ligger mellan och , så de kan inte ge samma vinkel.
Om man definierar arctan att ligga mellan 0 och däremot, så är det negativa talet också en lösning.
