Area

Är den någon som ser hur arean på den här traingeln blev a²/ 2 ?
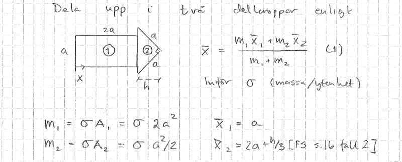
Plugga12 skrev:
Är den någon som ser hur arean på den här traingeln blev a²/ 2 ?
Är det här verkligen en fråga på universitetsnivå? Arean för en triangel är basen gånger höjden delat med två. Här är basen a och höjden a.
Smaragdalena skrev:Plugga12 skrev:
Är den någon som ser hur arean på den här traingeln blev a²/ 2 ?
Är det här verkligen en fråga på universitetsnivå? Arean för en triangel är basen gånger höjden delat med två. Här är basen a och höjden a.
Oj, jag såg helt fel på figuren. Jag trodde att den långa vertikala sidan var basen. Förlåt, ibland missar man sådana saker efter många timmar med mekanikuppgifter, även om det är på universitetsnivå.
Tack och ursäkta mig
Aha, det verkar mer troligt! Akut hjärnsläpp drabbar oss alla ibland.