Area för fyrkant med sidorna 5,6,8 och 11 inskriven i cirkel
En fyrhörning med sidorna 5, 6, 8 och 11 skrivs in i en cirkel. Beräkna fyrhörningens area. jag förstår verkligen inte hur man ska göra det här... jag antar att man ska dela upp fyrkanten i olika trianglar, men jag förstår inte hur.... origo 6255
Börja med att rita, iägg in det som är givet och ge namn åt hörnen.
Om det imte klarnar, lägg upp bilden här.
Bra,
beräkna en diagonals (exempelvis från A till C) längd med hjälp av cosinussatsen, gör det från bägge håll. (Med vinkel D och vinkel B)
för att lösa det uppkomna ekvationssystemet kan du utnyttja att det finns en relation mellan motstående vinklar och någon trigonometrisk formel.
Är det såhär du menar? jag vet inte hur man löser den där ekvationen som uppstår tyvärr dethär var så långt jag kom😔
Ser bra ut så långt,
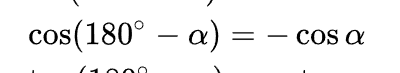
Den här identiteten kan vara användbar

Ersätt alltså cos(180-Vinkel B) med -cos(vinkel B) så kan du lösa ut ett värde på vinkeln B.
Sen är det lätt, areasatsen...
