4
svar
138
visningar
Area mellan kurvor
Hej, jag ska beräkna arean i detta området men fattar inte hur jag ska göra, och var jag ska börja.

Du behöver dela upp området i två integraler (som har samma underfunktion men olika överfunktioner).
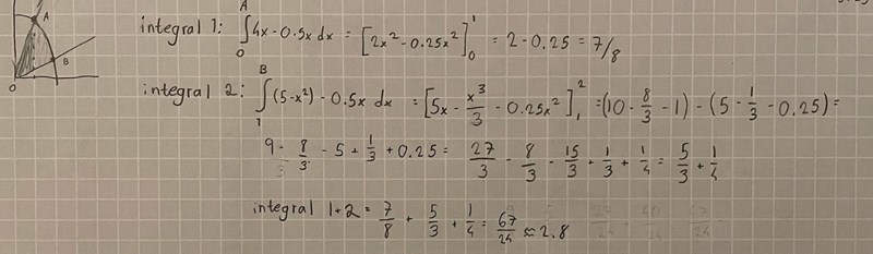
Var gör jag fel? Svaret ska vara 3 + 2/3
Felet är i första raden: 2-0,25=1,75=
Whoops.. tack, så fort jag såg 2an tänkte jag 2*4=8