Area mellan två kurvor

Vi sätter båda funktioner = varandra. Då kan vi räkna ut skärningspunkterna. Vi får x1 = 6, x2=-2. Nu tar vi den övre funktionen subtraherat med undre. Sedan integrerar vi båda funktioner. Lägger in skärningspunkten istället för x så vi kan ta fram områdets area.
Är detta rätt tänkt?
Är du säker på att -2 stämmer?
Peter.kalle skrev:Är detta rätt tänkt?
Nej, det stämmer inte.
Dels så måste du kontrollera dina lösningar till ekvationen, dels så bör du rita en grov skiss över graferna i ett koordinatsystem så att du får en bra uppfattning av hur området ser ut.
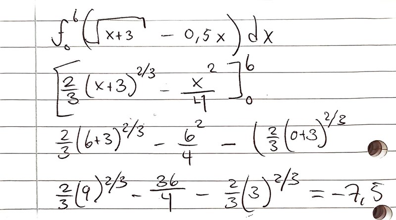
Okej nu har jag fått en bättre uppfattning av frågan. Ser att jag inte kan använda-2 eftersom det är en falsk rot. Ifall jag ska räkna ut området som begränsas av y-axeln blir intervallet 0 och 6. Alltså:

Men jag får ett negativt värde vilket inte kan stämma?
Bra, nu är intervallet rätt.
Men du bör alltid alltid kontrollera ditt förslag på primitiv funktion genom att derivera den.
Om resultatet då blir samma som ursprungsfunktionen så är det en korrekt primitiv funktion, annars inte.
Ojj då, nu ser jag att jag skrev fel, 2/3. Det ska såklart vara 3/2.
Nu får jag istället ~ 5,5 a.e
Stämmer det nu?
Ja, nu ser det bra ut.
Men visa gärna hela din uträkning så kan vi se om det finns något att förbättra där.
här är hela min lösning. Jag undrar ifall du skulle kunna beskriva varför jag räknar i intervallet 0 till 6 och inte -2 till 6. Jag vet att det är en falsk rot men sökt på nätet och inte hittat ett bra svar. Desto utförligare desto bättre eftersom jag då har enklare att förstå
Det står så i uppgiften:
