3
svar
135
visningar
Area och integral
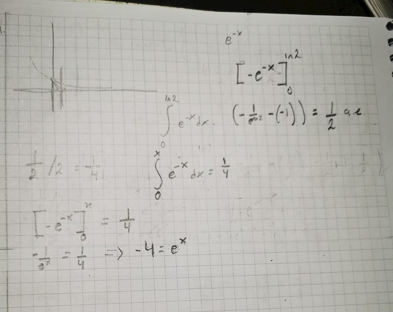
Hej, jag skulle vilja ha hjälp med följande uppgift:


Jag vet inte hur jag ska komma vidare för att få rätt svar. Svaret är x= ln 4/3. Jag vet inte varför man fick ln.
Tacksam för all hjälp <3
Hur lyder själva frågan?
Det är första bilagan. Jag vet inte vad det är jag ska göra🤷♀️
CrazyCathy skrev:Jag vet inte vad det är jag ska göra🤷♀️
Det förstår jag eftersom uppgiften är otydligt formulerad och det inte ens finns någon fråga att besvara.
Sista meningen bör istället vara något i stil med "Bestäm ekvationen för den vertikala linje som delar området i två lika stora delar".
Kommer du vidare då?