7 svar
383 visningar
Raumir behöver inte mer hjälp
Raumir 32
Postad: 16 nov 2022 20:21 Redigerad: 16 nov 2022 20:34

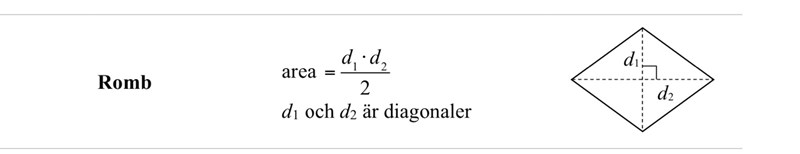
Area romb

Hur räknar man ut arean på en romb?

vi har fått formelblad fast förstår ändå inte hur man gör

Laguna 32128
Postad: 16 nov 2022 21:28

Hur ser uppgiften ut?

Raumir 32
Postad: 16 nov 2022 21:48

Har ingen sådan matte fråga fast det jag inte förstår är vad d1 och d2 är 

Herculesbaggen12 76 – Fd. Medlem
Postad: 16 nov 2022 22:17

d1 är den första diagonalen genom romben och d2 är den andra diagonalen.

Raumir 32
Postad: 16 nov 2022 22:19

Fast vart är diagonalen någonstans?

Laguna 32128
Postad: 17 nov 2022 07:51

Från ett hörn till hörnet mittemot, på samma sätt som i en rektangel. Det framgår förvisso inte så bra av figuren vad en diagonal är, man förutsätts redan veta det.

                              A

           B                                     D

                              C

Här ovan är en romb (tänk dig sidorna utritade). En sträcka från B till D är en diagonal, och en från A till C.

Raumir 32
Postad: 17 nov 2022 21:46

Men varför står det d och sen en 1 lite under?

Laguna 32128
Postad: 17 nov 2022 21:56

För att d är en trevlig bokstav att använda för att kalla en diagonal, men båda kan inte heta d, så man ger dem nummer. Sådana nummer brukar skrivas lite nersänkt så man inte tror att det är d multiplicerat med 2 eller något sådant.

Är det första gången du ser variabler med nedsänkta nummer? Det borde ha förklarats i så fall.

Svara
Close