Bayan Ali 1122 – Fd. Medlem
Postad: 7 mar 2023 08:30

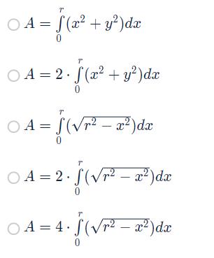
arean av en cirkel

Hur kan en av de stämma? Det finns inget pi i nån av de och dessutom så får jag att r blir upphöjt till annat än 2

Laguna 32110
Postad: 7 mar 2023 08:54

Vad är y uttryckt som funktion av x i första kvadranten?

Bayan Ali 1122 – Fd. Medlem
Postad: 7 mar 2023 14:30

y=(r2-x2)0.5

Laguna 32110
Postad: 7 mar 2023 15:11

Ser du vilken integral som passar?

Bayan Ali 1122 – Fd. Medlem
Postad: 7 mar 2023 18:54

Nä, förstår att det är 1 av de 3 sista men vet inte vilken

Laguna 32110
Postad: 7 mar 2023 19:17

Hur stor del av cirkeln får du om du integrerar detta y från 0 till r?

Bayan Ali 1122 – Fd. Medlem
Postad: 7 mar 2023 19:31

Jag vet inte riktigt. Jag har svårt att se området integralen utgör

Svara
Close