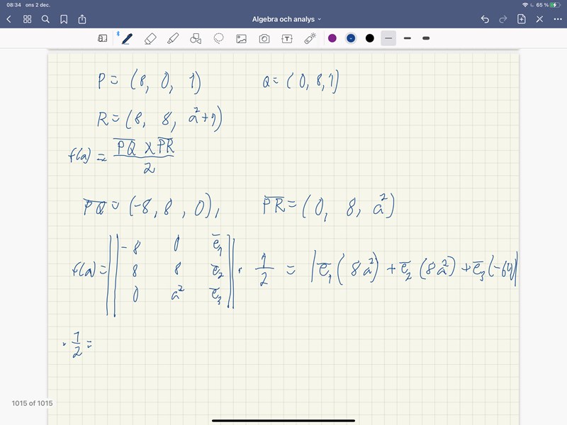
Arean av en triangel


Har glömt hur man gör resten. Någon som vet hur jag går vidare? Alltså jag vet inte hur jag ska räkna ut arean med hjälp av kryssprodukten.
Du har tänk rätt, men du har glömt att ta normen av kryssprodukten, det kommer ge dig arean. Det du har fått nu är en ny vektor, men du vill inte ha en ny vektor. Ta helt enkelt dess komponenter, kvadrera, addera, och dra roten ur det.
Qetsiyah skrev:Du har tänk rätt, men du har glömt att ta normen av kryssprodukten, det kommer ge dig arean. Det du har fått nu är en ny vektor, men du vill inte ha en ny vektor. Ta helt enkelt dess komponenter, kvadrera, addera, och dra roten ur det.
Vad är normen av kryssprodukten?
Förlåt, längden helt enkelt. Längden av kryssprodukten. Alltså