Arean av ett klot ökar med den konstanta hastigheten 28 cm²...
Arean av ett klot ökar med den konstanta hastigheten 28 cm² per minut.Med vilken hastighet ökar klotets volym när radien är 6,5 cm?
Jag gjorde såhär: 
och såhär står det i facit. Jag förstår inte riktigt vad dem gör.

Hej!
Du har listat ut att man måste hitta ett värde på för att kunna räkna ut med kedjeregeln. Men här har du istället deriverat V med avseende på r:

Så vad du har räknat ut är
vilket inte är samma sak som
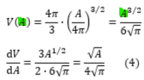
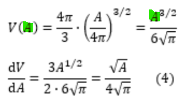
Facit har istället härlett funktionen V som funktion av A, och sedan deriverat funtionen med avseende på A, dvs
Hänger du med?
JohanF skrev:Hej!
Du har listat ut att man måste hitta ett värde på för att kunna räkna ut med kedjeregeln. Men här har du istället deriverat V med avseende på r:
Så vad du har räknat ut är
vilket inte är samma sak som
Facit har istället härlett funktionen V som funktion av A, och sedan deriverat funtionen med avseende på A, dvs
Hänger du med?
Jag tror jag förstår, så dem har brutit ut r ifrån A och på så sätt sätt in A i v, alltså en funktion Volym som beror på radien i arean.
Såhär skulle jag ha beskrivit det ifall jag hade använt dina ord:


JohanF skrev:Såhär skulle jag ha beskrivit det ifall jag hade använt dina ord:
Man ska då få arean inne i volymen på nått sätt
Anledningen till att man skulle vilja ha en funktion som ger den inneslutna volymen om man vet arean på formen, kan ju vara många. Till exempel om man vill undersöka vilken form som är bäst på en förpackning om man vill minimera hur mycket material som används till en viss förpackning.
Men i det här fallet så var enda anledningen till att facit tog fram funktionen V(A), att man ville kunna räkna ut dV/dA så att uppgiften kunde lösas.
Hänger du med?
JohanF skrev:Anledningen till att man skulle vilja ha en funktion som ger den inneslutna volymen om man vet arean på formen, kan ju vara många. Till exempel om man vill undersöka vilken form som är bäst på en förpackning om man vill minimera hur mycket material som används till en viss förpackning.
Men i det här fallet så var enda anledningen till att facit tog fram funktionen V(A), att man ville kunna räkna ut dV/dA så att uppgiften kunde lösas.
Hänger du med?
Ja, förstår nu. Tack!


