1
svar
85
visningar
elizabethbolund behöver inte mer hjälp
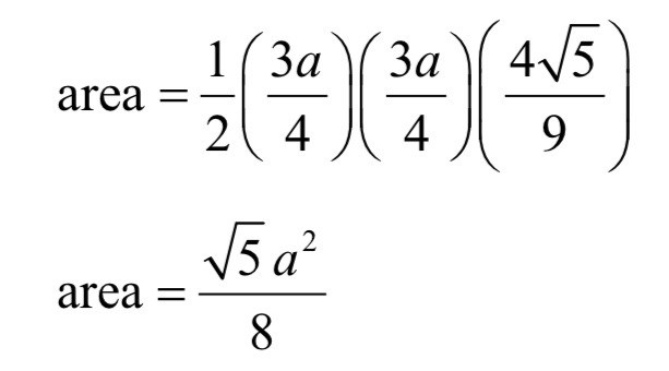
Arean av likbent triangel
Hej!
Allt som jag har räknat ut och står på triangeln är rätt, men ändå är arean jag har räknat ut av DAC (som är likbent) fel. Bifogar facit, även om de använder olika sidor och vinklar, borde inte min uträkning ge samma svar?
Jag vet att sidan a på formulan inte behöver vara a på själva bilden, men i detta fall tror jag det blir så :)

Jo, mitt svar är rätt, råkade bara felräkna 2*3*4 på nämnarna ger 24 och inte 12. Tack ändå!