1
svar
91
visningar
offan123 behöver inte mer hjälp
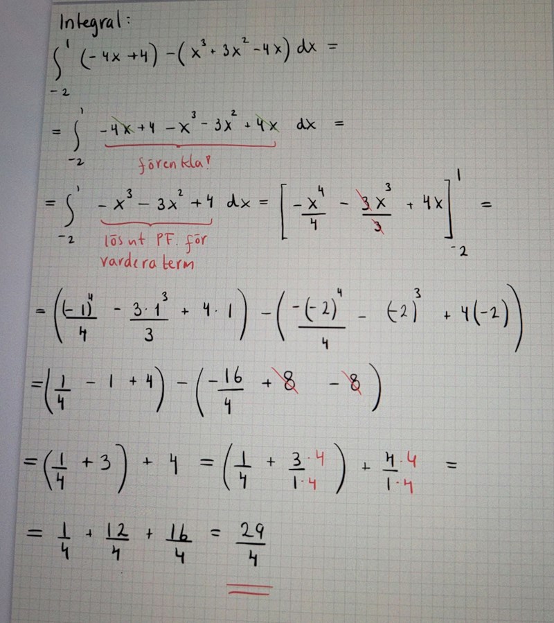
Arean mellan tangent och graf

Jag började så här, men sen fastnade jag kring förenkligen på slutet. 
Jag tror jag hittat mitt fel på sista sidan (fjärde raden räknat nedifrån) där den första termen borde ha -1(1)4 /4 vilket blir -1/4 och inte 1/4?

Ett tips är att om du räknar Area=F(x)-G(x) så kommer den del som ligger under x-axeln dras ifrån och ditt svar blir fel. Gör 2 integrationer. En för den som ligger ovan x-axel och en för den som ligger under x-axeln.