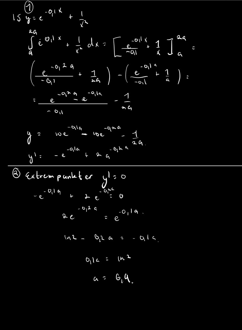
Arean under funktionen
jag har kommit så här långt, men kommer inte längre. 
bumpar tråden
Du har beräknat ett uttryck för arean under kurvan från x = a till x = 2a, eller hur?
Vad är standardmetoden för att ta reda på när något är som störst (eller som minst)?
Smaragdalena skrev:Du har beräknat ett uttryck för arean under kurvan från x = a till x = 2a, eller hur?
Vad är standardmetoden för att ta reda på när något är som störst (eller som minst)?
Det är ju att ta derivatan, söka nollställen och därefter kolla extrempunkternas karaktär.
Exakt. Gör det på uttrycket för arean.
Smaragdalena skrev:Exakt. Gör det på uttrycket för arean.

Vart blir det fel?
Såg inget fel. Varför tror du att det är fel?
Marie51 skrev:Såg inget fel. Varför tror du att det är fel?
facit säger 6,7, är det rätt natur logaritmerat? blir det verkligen ln2-0,2a?
Jag dividerade e med varandra men jag kom till samma svar.
ln2 = -0.1a +0.2a =0.1a
