Areaproblem
Herregud jag tror att jag har en till av mina död-hjärna dagar.
Och arean är minimalt när a=1.


Fundera ett varv till på beloppet av vektorn . Du har bara summerat koefficienterna för respektive basvektor, men är det verkligen så man bestämmer längden av en vektor?
Jag har funderat och tittat i min kompendium, men jag är inte säker att det är rätt.
Är det:
?
Hej!
1. Du har beräknat kryssprodukten fel. Det ska vara .
2. Kryssproduktens längd är minimal då uttrycket antar sitt minsta värde, det vill säga då funktionen antar sitt minsta värde; funktionens definitionsmängd är .
Albiki
Tack för svaret Albiki.
Jag har försökt att fixa slarvfelet framför och förstår forfarande inte:

Jag får inte till det -2 framför e2. Vad missar jag?
På något sätt beräknar du determinanten fel.
Det ska väl inte vara ett absolutbelopp som du skrev?
Mitt i lilla parentesen? Nej det är en determinant beräkning.
Mellersta termen blir
(-1)^5
gånger
(-2) *a^2
gånger vektorn e_2
Ok! If håller du med mig du att -1*-2 är lila med +2? Men Albiki skriver -2? Kan du räkna determinanten Bubo?
Jag har glömt bort det där med att stryka rad och kolumn och sedan beräkna determinanten av en mindre matris.
Sarrus regel ger bidraget
0*e2*0 - (-2)*e2*a^3
Hej!
Det är bäst att börja om från början.
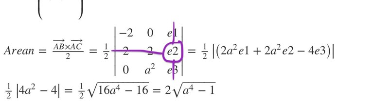
Triangelns hörn är punkterna och samt Dessa punkter bildar två vektorer
och
Den vektoriella produkten har en längd som är lika med arean hos parallellogrammet som spänns upp av vektorerna och ; triangelns area () är lika med hälften av parallellogrammets area.
Den vektoriella produkten beräknas som
och dess längd är
Triangelns area beror på parametern enligt följande samband och definierar därför en funktion () från de reella talen till de positiva talen.
Man ser direkt att funktionens minsta värde är
Albiki
Tack Albiki! Jag förstår inte vad du gjorde med modulo räkning. Till slut hittar jag detta resultat också men det är fortfarande fel svar. Jag skriver till lärarn.