Arg(z) och arg(z)
Förstår inte när man ska använda Arg(z) respektive arg(z), det verkar som att när Arg(z) används så tas inte
med, vilket verkar tas med då man skriver arg(z). Efter lite googling så kom jag fram till att man ska skriva Arg(z) när man är inom ett intervall på , hur vet jag när jag är inom detta intervallet? det är ju ett helt varv.
Jag har själv aldrig hört talas om en sådan skillnad när jag höll på med komplexa tal, båda betyder just argumented för ett komplext tal. Men nu när jag snabbt kollade upp det så brukar Arg(z) vara en principalvinkel i intervallet Medan arg(z) tar hänsyn till alla möjliga vinklar, dvs du lägger på Så det verkar som att Arg finns för att reducera en vinkel genom att subtrahera bort/lägga till så att det är mellan och . Ett komplext tal kan exempelvis ha argumentet . Men kommer istället att ha om du drar bort 2st varv.
MathematicsDEF skrev:Jag har själv aldrig hört talas om en sådan skillnad när jag höll på med komplexa tal, båda betyder just argumented för ett komplext tal. Men nu när jag snabbt kollade upp det så brukar Arg(z) vara en partikulär vinkel/lösning i intervallet -till Medan arg(z) tar hänsyn till alla möjliga vinklar, dvs du lägger på
Okej då är jag med, läser lite inledande matematik till programmen på chalmers där de använder Calculus A Complete Course, och där är facit alltid Arg(z), jag antar att det är "the principal argument" där man då helt enkelt inte tar med , och kallar det Arg(z).
Det uppstår dock lite förvirring i denna uppgift:

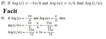
För här slänger de sedan in 2pi på Arg...
Cien skrev:MathematicsDEF skrev:Jag har själv aldrig hört talas om en sådan skillnad när jag höll på med komplexa tal, båda betyder just argumented för ett komplext tal. Men nu när jag snabbt kollade upp det så brukar Arg(z) vara en partikulär vinkel/lösning i intervallet -till Medan arg(z) tar hänsyn till alla möjliga vinklar, dvs du lägger på
Okej då är jag med, läser lite inledande matematik till programmen på chalmers där de använder Calculus A Complete Course, och där är facit alltid Arg(z), jag antar att det är "the principal argument" där man då helt enkelt inte tar med , och kallar det Arg(z).
Det uppstår dock lite förvirring i denna uppgift:
För här slänger de sedan in 2pi på Arg...
Jag inkluderade lite extra information i min första kommentar, det är så jag tolkade den förklaringen jag hittade i alla fall.
Cien skrev:MathematicsDEF skrev:Jag har själv aldrig hört talas om en sådan skillnad när jag höll på med komplexa tal, båda betyder just argumented för ett komplext tal. Men nu när jag snabbt kollade upp det så brukar Arg(z) vara en partikulär vinkel/lösning i intervallet -till Medan arg(z) tar hänsyn till alla möjliga vinklar, dvs du lägger på
Okej då är jag med, läser lite inledande matematik till programmen på chalmers där de använder Calculus A Complete Course, och där är facit alltid Arg(z), jag antar att det är "the principal argument" där man då helt enkelt inte tar med , och kallar det Arg(z).
Det uppstår dock lite förvirring i denna uppgift:
För här slänger de sedan in 2pi på Arg...
I exemplet du gav där så fick de ju svaret . Men eftersom att täljaren är större än nämnaren så är det argumentet utanför intervallet . Så vad de gjorde är att de la på vilket om man får det på gemensam nämnare (12) blir samma sak som och då får man vilket är typ och detta är inom det tillåtna intervallet.
MathematicsDEF skrev:Cien skrev:MathematicsDEF skrev:Jag har själv aldrig hört talas om en sådan skillnad när jag höll på med komplexa tal, båda betyder just argumented för ett komplext tal. Men nu när jag snabbt kollade upp det så brukar Arg(z) vara en partikulär vinkel/lösning i intervallet -till Medan arg(z) tar hänsyn till alla möjliga vinklar, dvs du lägger på
Okej då är jag med, läser lite inledande matematik till programmen på chalmers där de använder Calculus A Complete Course, och där är facit alltid Arg(z), jag antar att det är "the principal argument" där man då helt enkelt inte tar med , och kallar det Arg(z).
Det uppstår dock lite förvirring i denna uppgift:
För här slänger de sedan in 2pi på Arg...
I exemplet du gav där så fick de ju svaret . Men eftersom att täljaren är större än nämnaren så är det argumentet utanför intervallet . Så vad de gjorde är att de la på vilket om man får det på gemensam nämnare (12) blir samma sak som och då får man vilket är typ och detta är inom det tillåtna intervallet.
Makes sense, tack!