Argument, arg(z)
Hej!
Jag hänger ej med på vad som händer här. När jag slår den nedersta raden på miniräknaren får jag -17.14... Hur kommer detta sig?
(Jag tror det gulmarkerade kommer från bilden längst ner som jag hittade när jag googlade. )
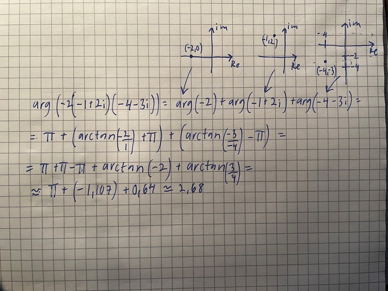
Uppgift:

Lösningsförslag:


Hej.
Din räknare är inställd på grader, inte radianer.
Hej!
Pinsamt! Tack för hjälpen. Jag får ändå inte rätt på det. Borde inte den andra gulmarkerade biten ha ett minustecken framför pi, då den är i tredje kvadranten?
Visa hur du räknar
Vad får du när du slår in
- arctan(-2)?
- arctan(3/4)?
Såhär tänker jag. Min räknare är inställd på grader så jag tar arctan(-2)*pi/180.
Lägg till till ditt resultat så får du samma svar som facit.
Så egentligen ditt svar lika rätt eller kanske t.o.m. rättare än det som står i facit.
Tack för förklaringen! Nu är jag med på noterna!