argumentet för summan ?
Hej!
Frågan lyder:
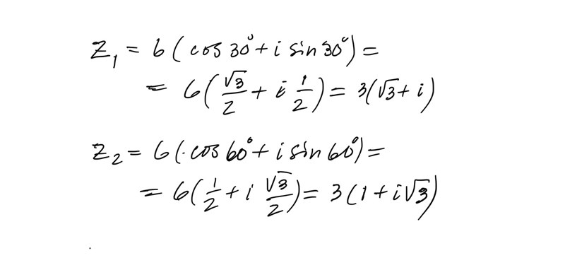
"För de två komplexa talet z1 och z2 gäller villkoren:
•|z1|=|z2|=6
•arg z1 = 30°
• arg z2= 60°
Bestäm argumentet för summan z1+z2. "
Min tanke:
Jag ritade upp en koordinatsystem och markerade att ifall det var en triangel skulle hypotenusan bli absolutbeloppet dvs. |z|. Sedan ritade jag två trianglar åt sidan ena med vinkeln 30° och andra med 60° och tänkte att kateterna skulle bli |z|•sinv och |z|•cosv.
Men jag förstår inte frågan fullt ut, vad menar dem med argumentet för summan, det första man tänker då är ju 30°+60° om man vet arg z1 och arg z2. Tacksam för svar!
Jan Ragnar skrev:
Jaahaa! Så det var bara att använda formeln.
Och det som är kvar nu är att ta
Ska man skriva något mer än så eller räcker detta?
Super tack!
Jan Ragnar skrev:
Jaha nu förstår jag hur du kom fram till detta, tack så jätte mycket!

