4 svar
116 visningar
idyuee1 behöver inte mer hjälp
idyuee1 52 – Fd. Medlem
Postad: 25 sep 2022 22:15 Redigerad: 25 sep 2022 23:14

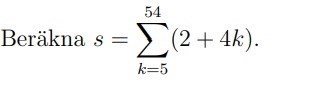
Aritmetisk summa

Lösningsförslag:


n = 54-5+1 = 50

a1 = 22

an= 218

s = 22+2182×50 = 6000

svar: 6000

inlägg återskapat. /Dracaena

Mohammad Abdalla 1376
Postad: 25 sep 2022 22:20

Stämmer bra!

idyuee1 52 – Fd. Medlem
Postad: 25 sep 2022 22:21 Redigerad: 25 sep 2022 23:13
Mohammad Abdalla skrev:

Stämmer bra!

Det vet jag att den gör.

inlägg återskapat. /Dracaena

Fermatrix 7621 – Fd. Medlem
Postad: 25 sep 2022 22:40

idyuee1, det är absolut inte tillåtet att redigera bort sina svar efter att ens tråd ha besvarats. Jag har återskapat dina inlägg. /Dracaena, moderator

Fermatrix 7621 – Fd. Medlem
Postad: 25 sep 2022 23:14

Idyuee1, det är inte tillåtet att redigera bort en moderator-kommentar. Skärpning.

Svara
Close