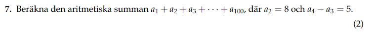
Aritmetisk talföljd
Hej! Jag håller på med denna uppgift.

Såhär har jag tänkt

Nu vet jag inte vad jag ska sätta in på k, jag har tidigare fått veta att k motsvarar kvoten av två närliggande tal men fattar inte exakt vad det innebär. Jag testade skriva k = 100 men det blir tokigt högt tal.
Kvoten av två närliggande tal innebär väl 3/8, eller 8/13. Men kan inte räkna ut det, och får inte ha miniräknare heller.
Är mkt tacksam för svar!
Det är skillnad på en aritmetisk talföljd och en geometrisk talföljd.
- I en aritmetisk talföljd är differensen mellan två närliggande tal alltid lika stor. Exempel 2, 5, 8, 11, 14 o.s.v. i det här exemplet är differensen alltid 3. Formeln för en aritmetisk summa hittar du här.
- I en geometrisk talföljd är kvoten mellan två närliggande tal alltid lika stor. Exempel 3, 6, 12, 24, 48 o.s.v. I det här exemplet är kvoten alltid 2. Formeln.för en geometrisk summa hittar du här.
Yngve skrev:Det är skillnad på en aritmetisk talföljd och en geometrisk talföljd.
- I en aritmetisk talföljd är differensen mellan två närliggande tal alltid lika stor. Exempel 2, 5, 8, 11, 14 o.s.v. i det här exemplet är differensen alltid 3. Formeln för en aritmetisk summa hittar du här.
- I en geometrisk talföljd är kvoten mellan två närliggande tal alltid lika stor. Exempel 3, 6, 12, 24, 48 o.s.v. I det här exemplet är kvoten alltid 2. Formeln.för en geometrisk summa hittar du här.
Hej, tack så mkt för svar.

a1 = 3, an = 100, n = antal termer dvs 100,
100(3*100)/2, eller 100(3+5)/2?
Svaret blir alldeles för högt, jag tror att mitt n är fel. Vad har jag räknat fel här?
Det är 100 termer, så och du ska då använda formeln
Det stämmer att , men vad är ?
Yngve skrev:Det är 100 termer, så och du ska då använda formeln
Det stämmer att , men vad är ?
a100 borde vara 3*100
Nej det stämmer inte. Du kan bestämma med hjälp av formeln du hittar här.
Är svaret 25050?
plusminus skrev:Är svaret 25050?
Ja, S100 = 25050
Ok tack