7
svar
251
visningar
Katarina149 behöver inte mer hjälp
Arthur står högst upp
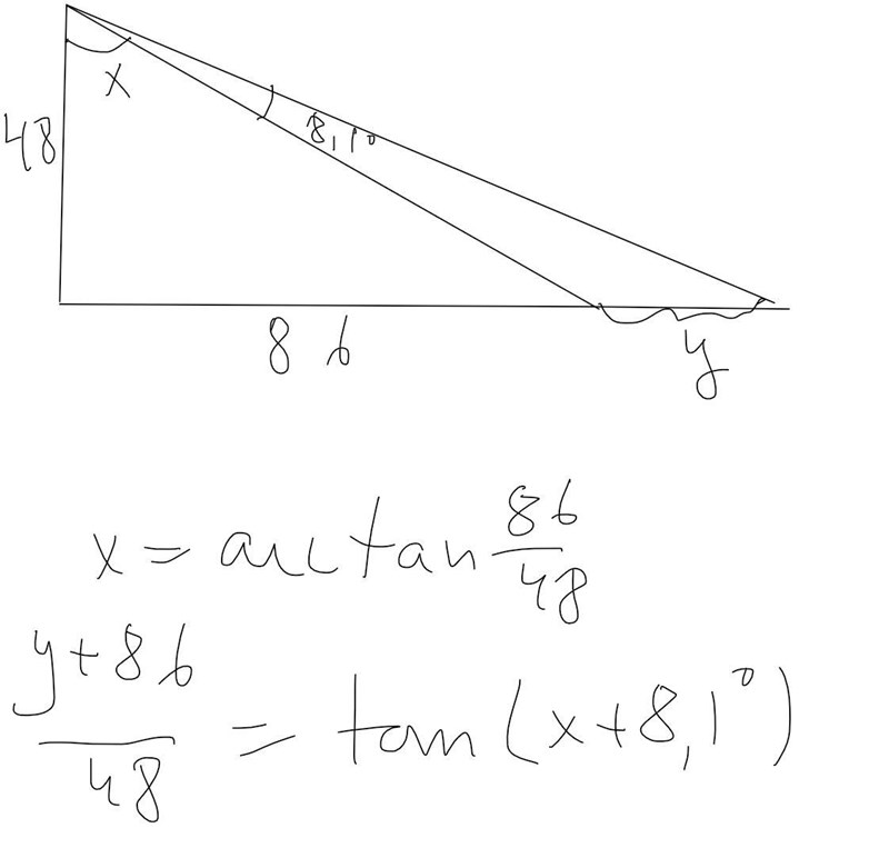
Artur står högst upp i ett 45 meter högt torn. 86 meter från tornet rinner en å. Han mäter synvinkeln till de två stränderna och får en skillnad på 8,1 grader. Hur bred är ån?
Hur ska man rita bilden till uppgiften? Och vad är det jag ens ska beräkna? Jag behöver ha hjälp med att rita upp bilden så att jag sedan kan tolka vad det är som ska beräknas.

Det behövs inget ekvationssystem. Du kan beräkna vinkeln i triangeln med sidorna 48, 86, z och lägga till 8,1 osv
Så långt lyckas jag. Sen kmr jag ej vidare
Jag hänger inte med på dina uträkningar
henrikus skrev:
Vad ska y vara? Är det där sjön finns?
Ja, y är där ån finns.
