9 svar
167 visningar
Katarina149 behöver inte mer hjälp
Katarina149 7151
Postad: 21 feb 2022 23:30

Asymptoter

Hej. Jag ser att det inte finns en horisontell asymptot. Nu försöker jag undersöka om det finns någon sned asymptot. 
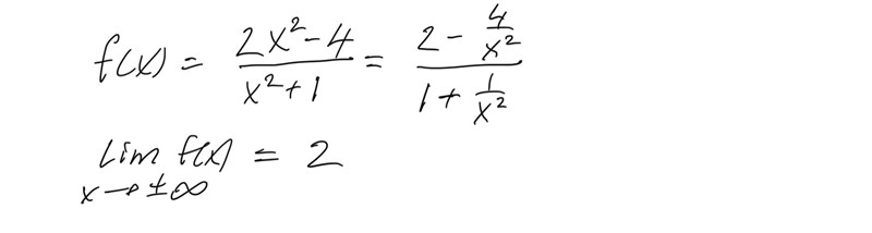
Jag försöker hitta k värdet men jag kommer ingenstans mer än 2/x .. Hur tolkar man k värdet utifrån svaret 2/x?

Jan Ragnar 2218
Postad: 21 feb 2022 23:39

Soderstrom 2768
Postad: 21 feb 2022 23:40

Vad händer i andra raden?

Använd limits istället. 

Katarina149 7151
Postad: 22 feb 2022 00:08
Jan Ragnar skrev:

Vart försvinner x2 termen i täljaren? hur får du det till att bli enbart en två i täljaren?

Katarina149 7151
Postad: 22 feb 2022 00:17 Redigerad: 22 feb 2022 00:18

Nu har jag svårt med att hitta m värdet, men enligt formeln som jag hittat ska man ta f(x)-kx

PATENTERAMERA 7829
Postad: 22 feb 2022 09:24

Om du vill beräkna k-värdet så gäller det att

k = limxfxx.

Sedan får du m-värdet ur

m = limxfx-kx.

Således

k = limx2x2-4xx2+1 = limx1x·limx2x2-4x2+1 = 0·2 = 0

m = limxfx-0x = limx2x2-4x2+1 = 2.

Katarina149 7151
Postad: 23 feb 2022 01:35

Jag förstår inte hur du får att k värdet blir 0

Katarina149 7151
Postad: 23 feb 2022 01:39
PATENTERAMERA skrev:

Om du vill beräkna k-värdet så gäller det att

k = limxfxx.

Sedan får du m-värdet ur

m = limxfx-kx.

Således

k = limx2x2-4xx2+1 = limx1x·limx2x2-4x2+1 = 0·2 = 0

m = limxfx-0x = limx2x2-4x2+1 = 2.

betyder det alltså att f(x)=2?

PATENTERAMERA 7829
Postad: 23 feb 2022 08:34
Katarina149 skrev:

Jag förstår inte hur du får att k värdet blir 0

Vad blir limxfxx? Jo, det blir noll. Det betyder att k = 0.

Jag utnyttjar räkneregeln att om limxhx = a och limxgx = b så gäller det att limxhxgx = a·b.

I vårt fall så gäller limx1x = 0 och att limx2x2-4x2+1 = 2 så gränsvärdet blir 0·2 = 0.

PATENTERAMERA 7829
Postad: 23 feb 2022 08:38
Katarina149 skrev:
PATENTERAMERA skrev:

Om du vill beräkna k-värdet så gäller det att

k = limxfxx.

Sedan får du m-värdet ur

m = limxfx-kx.

Således

k = limx2x2-4xx2+1 = limx1x·limx2x2-4x2+1 = 0·2 = 0

m = limxfx-0x = limx2x2-4x2+1 = 2.

betyder det alltså att f(x)=2?

Nja, det betyder att f(x) går mot 2 då x går mot , dvs vi har en horisontell asymptot.

Svara
Close