Asymptoter

stämmer mitt resonemang?
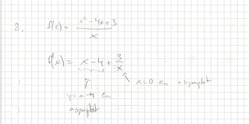
missade x-4
men är -3/x. en lodrätt asymptot?
och x-4 en vågrät asymptot?
Hej.
Nej det stämmer inte riktigt.
På gymnasienivå så är asymptoter räta linjer.
Antingen vågräta/sneda (y = kx+m) eller lodräta (x = a).
-3/x är ingen rät linje, så det är ingen asymptot.
Däremot så är x = 0 en lodröt asymptot.
Vågräta/sneda asymptoter hittar man då x går mot positiva/negativa oändligheten.
y = x-4 är en lodrät linje, så det kan inte vara en vågrät asymptot.
Jag hängde inte riktigt med på hur du kom fram till att den skulle vara det?
Nej, att x-4 var lodrät var en gissning bara.
är x=4 asymptot då?
men hur ska jag formulera mig i relation till att x=0 är en lodrätt asymptot.
Var det så att jag formulerade mig fel genom att skriva ut -3/x var en asymptot när jag vara borde ha skrivit att x i dess nämnare var en lodrätt asymptot? Var mina beräkningar fel pga av det?
ska jag beräkna lim x=o för varje term för sig?
uppgiften frågar i för sig inte om lodrätt eller vågrätt vara om det finns asymptoter
Du kan svara att x = 0 är en lodrät aymptot till grafen eftersom x = 0 inte ingår i funktionens definitionsmängd och att funktionsvärdet går mot positiva respektive negatiba oändligheten när x går mot 0.
Det finns även en sned asymptot, har ni kommit in på detta i kursen ännu?
Tanken kanske är att ni ska använda något digitalt hjälpmedel (grafräknare, Geogebra ellerliknande) för att lösa uppgiften?
====
Ja, det är fel att skriva att -3/x är en lodrät asymptot.
Det här är gamla tenta frågor. Så inga miniräknare
vi har börjat med sned asymptot.
enligt facit ska det vara:

OK, det finns en standardiserad metod som kan användas för att hitta horisontella och sneda asympoter.
Den går ut på följande:
Säg att det finns en rät linje som är en icke-lodrät asymptot till .
Vi vill nu bestämma denna asymptot genom att ta fram k- och m-värdet.
Metoden är följande:
Om gränsvärdet existerar så är detta vårt -värde.
För att sedan hitta -vördet så utnyttjar vi att närmar sig mer och mer ju längre bort från origo man kommer.
Det kan vi skriva på följande sätt:
, dvs
Lös nu ut ur den ekvationen.
=======
Är detta något som låter bekant?
Om inte, hur är det då beskrivet i din bok?
OK bra. Använd då istället den metod som står i boken.
Vill du att vi förklarar något kring den?


