Asymptotet och rita kurvan
Hej
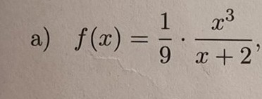
Jag ska rita den här kurvan

Och då vill jag ta fram asympotoerna. Men det jag tänker är: på vertikal asymptot så går x mot -2 och då kan jag sätta in värden som närmar sig -2

När vet jag om jag ska testa sätta in och när vet jag om jag ska kolla på funktionen? Måste jag inte göra något med funktionen innan jag får sätta in x? Eller tänker man inte samma när det är asymptot och gränsvärde för sig?
Btw missade -1.99 och att det ska vara upphöjt med 3
Du bör omedelbart kunna se att funktionen har en asymptot för x = 2, och nästa steg är att undersöka gränsvärdet när funktionen går mot positiva och negativa oändligheten. Du bör också derivera frunktionen och undersöka om derivatan har några nollställen.
Smaragdalena skrev:Du bör omedelbart kunna se att funktionen har en asymptot för x = 2, och nästa steg är att undersöka gränsvärdet när funktionen går mot positiva och negativa oändligheten. Du bör också derivera frunktionen och undersöka om derivatan har några nollställen.

Jag har gjort det sen. Men jag undrar bara I det steget med vertikal asymptot: i vanliga fall måste jag göra något med uttrycket innan jag får sätta in något värde. Här har jag bara testat lägga in olika värden som närmar sig -2 och sett att det måste gå mot oändligheten