1
svar
140
visningar
nargesmaza behöver inte mer hjälp
Att balansera Kemiska reaktioner
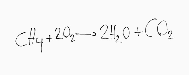
Jag är lite osäker med att balansera kemiska reaktioner. Jag undrar om den här balanseringen är rätt? 
Jag har skrivit så här:

En annan fråga är att när det står stort "2H2O", ska man gångra "O" med den stora "2"?
För att dubbelkolla om du har gjort rätt kan du räkna alla atomslag för sig på vänster respektive högersidan om pilen. Om det är samma antal (och laddning, men i detta fall jobbar du inte med joner och då ju laddningen 0 på bägge sidor) så är balanseringen korrekt. Du kan till exempel skriva en tabell:
| Vänster | Höger | |
| C | 1x1=1 | 1x1=1 |
| H | 1x4=4 | 2x2=4 |
| O |
Du får själv fylla i för syre! Står det 2 H2O så är det 2 st O! Vad tycker du, är reaktionsformeln balanserad?