8 svar
92 visningar
destiny99 behöver inte mer hjälp
destiny99 Online 11884
Postad: 8 mar 2024 10:32 Redigerad: 8 mar 2024 10:32

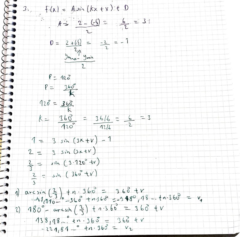
Att bestämma Asin(kx+v) ur grafen

Hej!

 

Jag lyckades bestämma alla utom förskjutning i x-led. Men jag är dock osäker på hur jag ska avgöra om någon av v1 eller v2 är rätt förskjutning till grafen. Båda är ju negativa. Jag valde punkten som jag upplevde verkade enklast att läsa av grafen (120,1). 

MrPotatohead 8171 – Moderator
Postad: 8 mar 2024 10:34

Det finns ingen punkt (120,1), kolla skalan på y-axeln. Den du menar är nog (120;0,5).

destiny99 Online 11884
Postad: 8 mar 2024 10:36 Redigerad: 8 mar 2024 10:38
mrpotatohead skrev:

Det finns ingen punkt (120,1), kolla skalan på y-axeln. Den du menar är nog (120;0,5).

Jag menar punkten (120,1) och det är så jag avläste. Jag tittade ej på någon skala tyvärr och vill bara göra det enkelt för mig liksom. Men om jag ser fel så vet jag ej hur man avläser korrekt. Jag skrev även ut själva provpappret och jämförde med den originala från hemsidan.

MrPotatohead 8171 – Moderator
Postad: 8 mar 2024 10:42

Men du kan väl hålla med om att grafen inte går igenom (120,1) utan (120;0,5)? Med skala menar jag hur y-axeln är graderad. Varje ruta är 0,5 eftersom det är 4 hopp upp till 2. 

Testa använd den punkten jag skrev istället. 

destiny99 Online 11884
Postad: 8 mar 2024 10:47
mrpotatohead skrev:

Men du kan väl hålla med om att grafen inte går igenom (120,1) utan (120;0,5)? Med skala menar jag hur y-axeln är graderad. Varje ruta är 0,5 eftersom det är 4 hopp upp till 2. 

Testa använd den punkten jag skrev istället. 

Okej nu ser jag att det är 4 hopp till 2. Tack! Ska testa :)

destiny99 Online 11884
Postad: 8 mar 2024 10:56 Redigerad: 8 mar 2024 11:55

Nu får jag v1=-330+n*360 och v2=-210 +n*360 grader. Kan man välja en av dem eller spelar det roll om man väljer en av dem?  Båda verkar ge y=0.5. 

Då får jag y=3sin(3(x-70 ))-1 eller y=3sin(3(x-110))-1. 

MrPotatohead 8171 – Moderator
Postad: 8 mar 2024 12:27

Du kan kolla själv om dina svar stämmer i Desmos eller Geogebra :)

destiny99 Online 11884
Postad: 8 mar 2024 12:37
mrpotatohead skrev:

Du kan kolla själv om dina svar stämmer i Desmos eller Geogebra :)

Ah okej. :)

destiny99 Online 11884
Postad: 8 mar 2024 12:53 Redigerad: 8 mar 2024 14:43

Kikade på facit och jag är ej med på hur de valde att hitta förskjutning i x-led. Vad är felet med mitt sätt? Jag fick ju två vinklar dvs v1= -330 grader och v2=-210 grader. En annan fråga också de hittade förskjutning i y-led på annat sätt än vad jag gjorde. Jag tog medelvärdet av ymax och ymin och dividerade på 2 ,är det sättet godtagbart trots att jag och facit fick samma svar?

 

Svara
Close