2
svar
74
visningar
Ralfs behöver inte mer hjälp
Att bestämma exakta värde för cosinus genom komplexa tal.
Min uppgift lyder: 
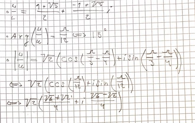
Jag har gjort detta:

jag har alltså hittat (tror jag) den rektangulära formen, argumentet (vinklarna) och absolutbeloppet. Dock kan jag inte förstå hur detta kan nå mig till ett exakt värde för Cos(15) och Sin(15). Jag hittar inte heller någon liknande uppgift på internet / Matematik origo 4.
Men har du inte just bestämt de exakta cosinus- och sinusvärden.
Jo den kanske är löst så, det känns bara som att den rektangulära formen är ganska meningslös. Det kanske just var sättet som frågan presenterades som förvirrade mig, jag tänkte mig att lösningen skulle vara något i någon form av en ekvationslösning som ledde till de exakta värdena. Tack