2
svar
89
visningar
Ralfs behöver inte mer hjälp
Att hitta alla rötter.

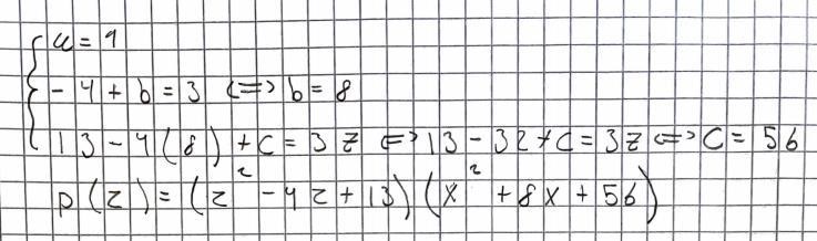
Jag har försökta att besvara frågan på följande sätt:


Jag försöker alltså att använda faktorsatsen, jag förutsätter också att en annan rot till 2+3i är 2-3i. När jag multiplicerar (z^2-4z+13)(z^2+8z+56) återgår jag inte till den orginella ekvationen, det finns dock likheter så jag antar att något är rätt, vet bara inte var felet ligger.
Du kan i alla fall börja med att konstatera att z = 0 är en lösning till ekvationen. Om du inte börjar med att bryta ut det, behöver du ansätta ett tredjegradspolynom, inte ett andragradspolynom.
Jag tror att jag skulle ha använt polynomdivision för att få fram det andra polynomet, men det är en smaksak vilket man föredrar.
-4a+b ska vara -3, inte 3.