Att hitta riktningsvektorn
Jag sitter här och försöker lösa en uppgift och jag har fattat det som att jag måste hitta riktnings vektorn av:
Jag är osäker hur man ska ta sig här ifrån till riktnings vektorn,
om jag inte har fel så är x=5 så det blir (5, ?, ?)
hur får man fram y och z?
jag förstår y nu eftersom att
vilket gör att . då blir riktnings vektorn (5, -1, ?)
Blir det inte
(5,-1,1)
Hej,
En rät linje i rummet som går genom punkten och "pekar" i riktningen har ekvationen
där betecknar en parameter som kan anta vilket reellt värde som helst.
så som frågan är skriven
alla delar är = 1
z=1
(x-1)/5=1
x-1=5
x=6
1-y=1
y=0
x,y,z=(6,0,1)
oneplusone2 skrev:så som frågan är skriven
alla delar är = 1
z=1
(x-1)/5=1
x-1=5
x=61-y=1
y=0x,y,z=(6,0,1)
Om inte jag mins fel så tror jag man får riktningsvektorn via, r1,r2,r3 eller som
Albiki skriver:
Så här tolkar jag det:
Parameterfri form....
är redan skriven på rätt form.
dela med (-1) för att vända till rätt form.
saknas då blir det:
Sammanfattning:
Och det som söks är Riktningsvektorn
Niro skrev:Så här tolkar jag det:
Parameterfri form....
är redan skriven på rätt form.
dela med (-1) för att vända till rätt form.
saknas då blir det:
Sammanfattning:
Och det som söks är Riktningsvektorn
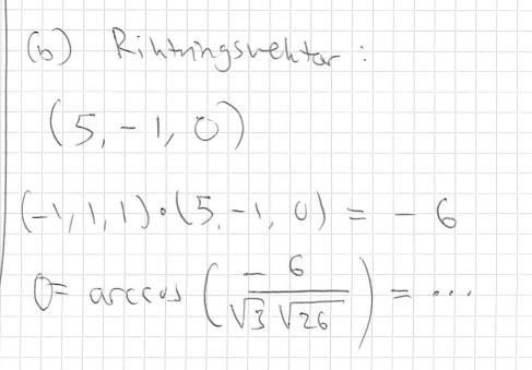
Aa, jag tänkte på samma sätt men enligt facit så skulle det bli (5,-1,0) förstår inte hur det tänkte med nollan, jag skrev ut det som du först med (5,-1,1) men fick fel svar
realbravebomb24 skrev:Niro skrev:Så här tolkar jag det:
Parameterfri form....
är redan skriven på rätt form.
dela med (-1) för att vända till rätt form.
saknas då blir det:
Sammanfattning:
Och det som söks är Riktningsvektorn
Aa, jag tänkte på samma sätt men enligt facit så skulle det bli (5,-1,0) förstår inte hur det tänkte med nollan, jag skrev ut det som du först med (5,-1,1) men fick fel svar
Om vi backar tillbaka den sista delen från parameterfri form till parameterform.
Vi går till:
Om inte finns och facit vill att Då måste ju även vara Noll
Då saknas ju hela den delen av ekvationen?
Niro skrev:realbravebomb24 skrev:Niro skrev:Så här tolkar jag det:
Parameterfri form....
är redan skriven på rätt form.
dela med (-1) för att vända till rätt form.
saknas då blir det:
Sammanfattning:
Och det som söks är Riktningsvektorn
Aa, jag tänkte på samma sätt men enligt facit så skulle det bli (5,-1,0) förstår inte hur det tänkte med nollan, jag skrev ut det som du först med (5,-1,1) men fick fel svar
Om vi backar tillbaka den sista delen från parameterfri form till parameterform.
Vi går till:
Om inte finns och facit vill att Då måste ju även vara Noll
Då saknas ju hela den delen av ekvationen?
realbravebomb24 skrev:Niro skrev:realbravebomb24 skrev:Niro skrev:Så här tolkar jag det:
Parameterfri form....
är redan skriven på rätt form.
dela med (-1) för att vända till rätt form.
saknas då blir det:
Sammanfattning:
Och det som söks är Riktningsvektorn
Aa, jag tänkte på samma sätt men enligt facit så skulle det bli (5,-1,0) förstår inte hur det tänkte med nollan, jag skrev ut det som du först med (5,-1,1) men fick fel svar
Om vi backar tillbaka den sista delen från parameterfri form till parameterform.
Vi går till:
Om inte finns och facit vill att Då måste ju även vara Noll
Då saknas ju hela den delen av ekvationen?
I din ursprungliga fråga skrev du följande:
Jag vet inte vad som är a,b,c,d....uppgift men här har du en
b) uppgift med en linje:
Det jag vet är att om:
och Då skriver man:
b) uppgift med en linje:
Det jag vet är att om:
och Då skriver man:
Du kan skriva \neq med dubbla dollartecken mellan, SS\neqSS (men med $ istället för S), då blir det .

