Att kunna läsa mellan raderna en uppgift.
Hej!
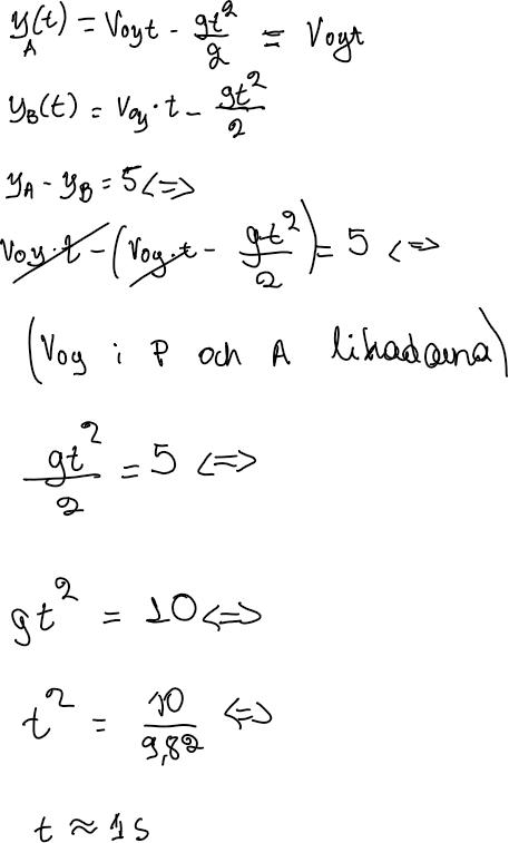
Jag har vet inte hur jag ska tolka denna uppgift. Jag har gjort en skiss men kan inte komma vidare än så. Skulle jag kunna hjälp med att tolka uppgiften, för det enda vi får är höjskillnad mellan A och B. 

Kapi skrev:det enda vi får är höjdskillnad mellan A och B.
Och därmed kan du bestämma tiden.
Eftersom du ifrån uppgiften får veta skillnaden i "y-ledsrörelsen" i fallen med respektive utan gravitation, så kan du försöka utnyttja det.
Kommer du vidare?
Har jag något slarvfel i mina beräkningar eller förstått jag fel?
JohanF skrev:Eftersom du ifrån uppgiften får veta skillnaden i "y-ledsrörelsen" i fallen med respektive utan gravitation, så kan du försöka utnyttja det.
Kommer du vidare?
Menar du att bollen faller till läge B, utan gravitation för att den kastas med konstant hastighet?
Nej, det är gravitationen som gör att bollen träffar väggen i läge P, inte i läge A. Om man hade släppt en annan boll från läge A samtidigt som man kastade bollen, skulle de komma till läge P samtidigt.
Kapi skrev:Har jag något slarvfel i mina beräkningar eller förstått jag fel?
Jag tror du har tänkt riktigt men blivit lite fel. Utan gravitation (dvs g=0) så hade kastet hamnat i y-led . Försök så istället.
Kapi skrev:JohanF skrev:Eftersom du ifrån uppgiften får veta skillnaden i "y-ledsrörelsen" i fallen med respektive utan gravitation, så kan du försöka utnyttja det.
Kommer du vidare?
Menar du att bollen faller till läge B, utan gravitation för att den kastas med konstant hastighet?
Såhär menar jag:

Ser du var du har gjort fel i dina beräkningar?
Hej,
Jag ber om ursäkt för mitt sena svar men hade prov på matte och satt allt fokus på det.
Jag tror att jag är klar med uppgiften men ville bara fråga igen om YA. Varför finns det inte gravitationen där?

Det var bara ett tankesätt som hjälpte mig själv att lösa uppgiften.
Bollen skulle ha hamnat i ya om inte gravitationen hade funnits. Bollen hamnar i yb om man "slår igång" gravitationen först. Alltså måste skillnaden mellan ya och yb ha att göra med gravitationens påverkan, vilket också framkom när man ritade figuren.
Verkar det stämma?
Ja, det känns klarare nu. Men en fråga uppstod.
Till exempel om en baseballspelare siktar på A, måste hen titta på en lite högre punkt, för att bollen ska nå A?
Ja precis!
Jaha! Har fått en heureka- moment! haha
Tack så mycket för hjälpen!
