Attraherande elektroner
Vad gör jag för fel? 

Du slänger bara upp en massa ekvationer utan att berätta vad det är du försöker beräkna och vad det ligger för tankar bakom. Du borde skriva lite om hur du resonerar, knhyta ihop de formelr du behöver, förkorta bort det som går att förkorta bort, lösa ut m ur olikheten och först DÅ sätta in siffror. Dessutom använder du likhetstecken på felaktoga sätt - det är möjligt att du menar implikationspil, men det har du inte skrivit.
Smaragdalena skrev:Du slänger bara upp en massa ekvationer utan att berätta vad det är du försöker beräkna och vad det ligger för tankar bakom. Du borde skriva lite om hur du resonerar, knhyta ihop de formelr du behöver, förkorta bort det som går att förkorta bort, lösa ut m ur olikheten och först DÅ sätta in siffror. Dessutom använder du likhetstecken på felaktoga sätt - det är möjligt att du menar implikationspil, men det har du inte skrivit.
I framtiden ska jag försöka skriva mycket tydligare. Har nu renskrivit och hittat små fel. Vet inte om det räcker eller om jag ska förklara tankegångarna ännu tydligare.
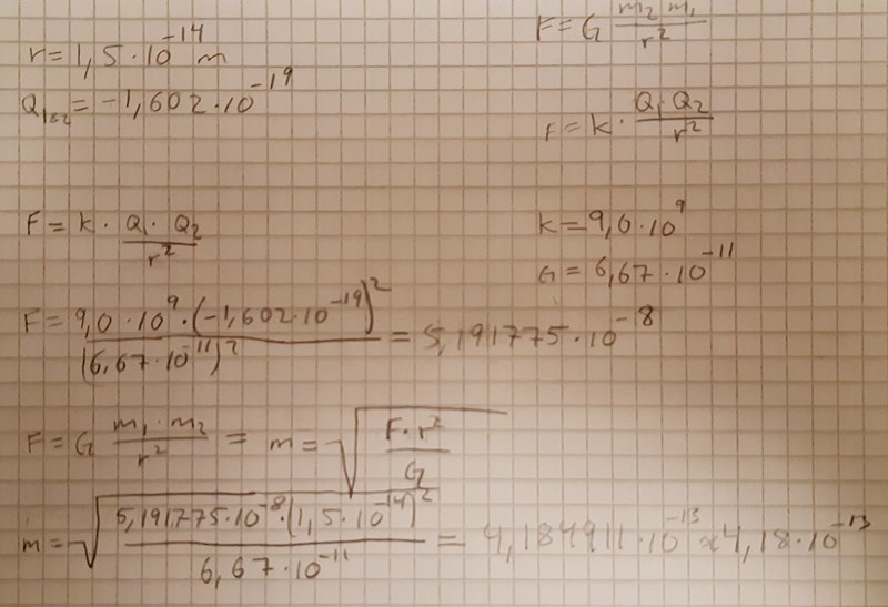
Fick nu svaret 1,86•10^-4 vilket inte finns som svarsalternativ. Det finns dock ett svar som är 1,86•10^-9, är det någon som ser var jag har gjort fel?

Du skriver fortfarande inte vad det är du försöker räkna ut. Du borde skriva typ
"För att elektronerna skall attrahera varandra krävs att gravitationskraften är större än den elektriska Coulombkraften. Eftersom det handlar om två elektroner, är deras massa lka och laddigen är lika. Vi behöver alltså inte två olika variabler för de båda massorna respektive laddningarna. Gravitationskraften är och Coulombkraften är . Det innebär att . ..."
Smaragdalena skrev:Du skriver fortfarande inte vad det är du försöker räkna ut. Du borde skriva typ
"För att elektronerna skall attrahera varandra krävs att gravitationskraften är större än den elektriska Coulombkraften. Eftersom det handlar om två elektroner, är deras massa lka och laddigen är lika. Vi behöver alltså inte två olika variabler för de båda massorna respektive laddningarna. Gravitationskraften är och Coulombkraften är . Det innebär att . ..."
Förlåt, trodde jag beskrev det när jag skrev "Q1=Q2 => Q1•Q2 = Q²" etc. Våran lärare har sagt att det räcker.
Men var har jag gjort fel i uträkningen?
Hur kan jag inte få rätt svar?
mattelinnea skrev:Smaragdalena skrev:Du skriver fortfarande inte vad det är du försöker räkna ut. Du borde skriva typ
"För att elektronerna skall attrahera varandra krävs att gravitationskraften är större än den elektriska Coulombkraften. Eftersom det handlar om två elektroner, är deras massa lka och laddigen är lika. Vi behöver alltså inte två olika variabler för de båda massorna respektive laddningarna. Gravitationskraften är och Coulombkraften är . Det innebär att . ..."
Förlåt, trodde jag beskrev det när jag skrev "Q1=Q2 => Q1•Q2 = Q²" etc. Våran lärare har sagt att det räcker.
Men var har jag gjort fel i uträkningen?
Hur kan jag inte få rätt svar?
Där du räknar ut F får jag 1,02656 i stället, utan tiopotenser.