2
svar
84
visningar
Micimacko behöver inte mer hjälp
Avbildning
Jag lyckas inte förstå vad det är de frågar efter. Någon som förstår?


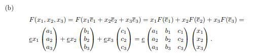
Hej!
Avbildningen kopplar ihop en kolonnvektor
av reella tal
med en kolonnvektor
av reella tal.
Vektorn kan skrivas som en summa av tre kolonnvektorer (basvektorer).
På grund av att är en linjär avbildning kan kolonnvektorn skrivas som summa av kolonnvektorer:
Tack!