Avbildningsmatris
Ange Fs avbildningsmatris A om man vet att F är en linjär avbildning i planet, F(2e1+e2) = 2e1 - e2 och F(e1-e2) = e1+e2. Gör även en geometrisk tolkning.
Har fastnat mycket på dessa uppgifter, förstår verkligen inte hur jag ska göra.
När det gäller att hitta en avbildningsmatris vill vi veta vad som händer med enhetsvektorerna under transformationen. Börja med vad e1 och e2 faktiskt motsvarar! . F kommer alltså att transformera vektorn (2,1) till (2,-1). Hur är det med e1-e2?
Därefter, det gäller att , eftersom avbildningen är linjär. Kan du använda det för att försöka ta dig till F(1,0) respektive F(0,1)?
Ett alternativ till smutstvätts metod:
Vi vet att
A = och att A = , som vi kan skriva som en enda matrisekvation
A = , vilket ger
A = = - = .
Detta är en reflektion i x-axeln.
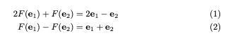
Jag utvecklar Smutstvätt:s tankegång (F är en linjär avbildning, med tillhörande räkneregler).

(1)+(2) ger , varav
och .
Avbildningsmatrisen
. Geometrisk tolkning:

Matrisen A är en speglingsmatris, spegling i horisontella xeln.