9 svar
107 visningar
Soderstrom behöver inte mer hjälp
Soderstrom 2768
Postad: 25 sep 2021 20:24 Redigerad: 25 sep 2021 20:25

Avbildningsmatris

Jag har nog gjort fel på formeln. Eller?

PATENTERAMERA Online 7663
Postad: 25 sep 2021 20:55

(F)f = Te->f(F)eTf->e

Te->f = [e]fe1e2f = e1fe2f.

Tf->e = [f]e

Soderstrom 2768
Postad: 25 sep 2021 22:40 Redigerad: 25 sep 2021 22:40
PATENTERAMERA skrev:

(F)f = Te->f(F)eTf->e

Te->f = [e]fe1e2f = e1fe2f.

Tf->e = [f]e

Hur får du det till två vektorer [e1,e2][e_{1}, e_{2}]? Borde det inte vara 3 st? Jag är förvirrad lite.

PATENTERAMERA Online 7663
Postad: 25 sep 2021 23:57 Redigerad: 26 sep 2021 00:00

Precis, tre skall det vara.

e = e1e2e3

Soderstrom 2768
Postad: 26 sep 2021 00:11 Redigerad: 26 sep 2021 00:11
PATENTERAMERA skrev:

Precis, tre skall det vara.

e = e1e2e3

Ok. Men är inte e\vec{e} redan skrivna i basen f{f}?

PATENTERAMERA Online 7663
Postad: 26 sep 2021 00:13

Nja, det är väl tvärt om. Du vet f uttryckt i e.

PATENTERAMERA Online 7663
Postad: 26 sep 2021 00:25 Redigerad: 26 sep 2021 00:25

Notera att att vi har följande formler.

e = fef

f = efe


xf = efxe


xe= fexf


Där är en godtycklig vektor.

Soderstrom 2768
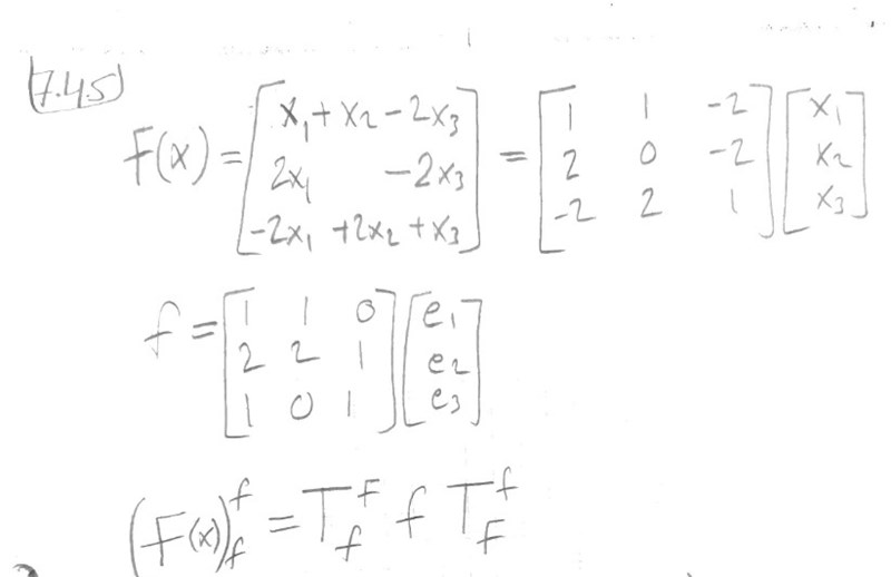
Postad: 4 okt 2021 17:33 Redigerad: 4 okt 2021 17:36
PATENTERAMERA skrev:

(F)f = Te->f(F)eTf->e

Te->f = [e]fe1e2f = e1fe2f.

Tf->e = [f]e

(F)ff=(T)fe (F) ((T)fe)-1(F)^f_f=(T)^e_f \ (F) \ ((T)^{e}_f)^{-1}

(F)=11-220-2-221(F) = \begin{bmatrix} 1 & 1 & -2 \\2& 0 & -2\\-2 & 2& 1 \\\end{bmatrix}

och

((T)fe)-1=110221101((T)^{e}_f)^{-1} = \begin{bmatrix} 1 & 1 & 0 \\2& 2 & 1\\1 & 0& 1 \\\end{bmatrix}

Men enhetsvektorerna kan inte uttryckas i basen ffff inte är inverterbar. Men jag måste ha missat något?

PATENTERAMERA Online 7663
Postad: 4 okt 2021 18:07

Tf->e = ([f1]e [f2]e [f3]e) = 121120011.

Te->f = (Tf->e)-1.

Soderstrom 2768
Postad: 4 okt 2021 20:48

Just det, kolonnvektorer och inte radvektorer...

Svara
Close