Avbildningsmatris som motsvarar sned projektion
Tjena pluggakuten!
Frågan lyder:
Facit lyder:

Känner inte direkt att jag kan förstå facit, skulle man kunna försöka få hintar till hur man löser uppgiften på egen hand eller om någon orkar förklara steg för steg.
Tack för hjälpen på förhand!
Ett sätt att se på saken är följande:
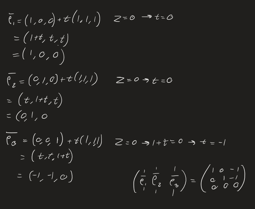
Du kommer i slutändan ha avbildningsmatrisen A.
Vad händer om man applicerar denna på en av våra basvektorer, t.ex. (1,0,0)?
Då kommer vi att få ut en av våra kolumner i avbildningsmatrisen. Mao. om du vet hur basvektorerna avbildas så kan du bilda avbildningsmatrisen.
Skall vi hitta hur som (1,0,0) avbildas längs riktningen (1,1,1) vill det till att vi rör oss med riktningsvektorn t*(1,1,1), där t är vald så att vi stöter på xy-planet. Vår vektor skall alltså avbildas till (1,0,0)+t*(1,1,1)
xy-planet är då z=0, så för att z-värdet i vektorn (1,0,0)+t*(1,1,1) skall bli noll får vi sätta att t blir 0, och att (1,0,0) avbildas på sig själv.
Samma resonemang kan föras på basvektorn (0,1,0).
På (0,0,1) blir det knepigare, för vi skall välja ett t-värde så att (0,0,1)+t*(1,1,1)= ([ett tal],[ett tal],0).
I z-led blir ekvationen att 1+t*1=0 vilket ger
1+t=0
t=-1
så (0,0,1) avbildas på (0,0,1)+(-1)*(1,1,1)= (0-1,0-1,1-1)= (-1,-1,0)
Därmed har vi basvektorernas avbildningar och därmed även A-matrisen.
Jag är osäker på vilken bit i facits resonemang du inte hängde med på, så skriv var du tycker att det fallerar.
Bedinsis skrev:Ett sätt att se på saken är följande:
Du kommer i slutändan ha avbildningsmatrisen A.
Vad händer om man applicerar denna på en av våra basvektorer, t.ex. (1,0,0)?
Då kommer vi att få ut en av våra kolumner i avbildningsmatrisen. Mao. om du vet hur basvektorerna avbildas så kan du bilda avbildningsmatrisen.
Skall vi hitta hur som (1,0,0) avbildas längs riktningen (1,1,1) vill det till att vi rör oss med riktningsvektorn t*(1,1,1), där t är vald så att vi stöter på xy-planet. Vår vektor skall alltså avbildas till (1,0,0)+t*(1,1,1)
xy-planet är då z=0, så för att z-värdet i vektorn (1,0,0)+t*(1,1,1) skall bli noll får vi sätta att t blir 0, och att (1,0,0) avbildas på sig själv.
Samma resonemang kan föras på basvektorn (0,1,0).
På (0,0,1) blir det knepigare, för vi skall välja ett t-värde så att (0,0,1)+t*(1,1,1)= ([ett tal],[ett tal],0).
I z-led blir ekvationen att 1+t*1=0 vilket ger
1+t=0
t=-1
så (0,0,1) avbildas på (0,0,1)+(-1)*(1,1,1)= (0-1,0-1,1-1)= (-1,-1,0)
Därmed har vi basvektorernas avbildningar och därmed även A-matrisen.
Jag är osäker på vilken bit i facits resonemang du inte hängde med på, så skriv var du tycker att det fallerar.
Riktigt bra förklarat!! Tack för hjälpen, här kommer lösningen jag pysslade ihop:
