1
svar
119
visningar
Jaghatarfysik behöver inte mer hjälp
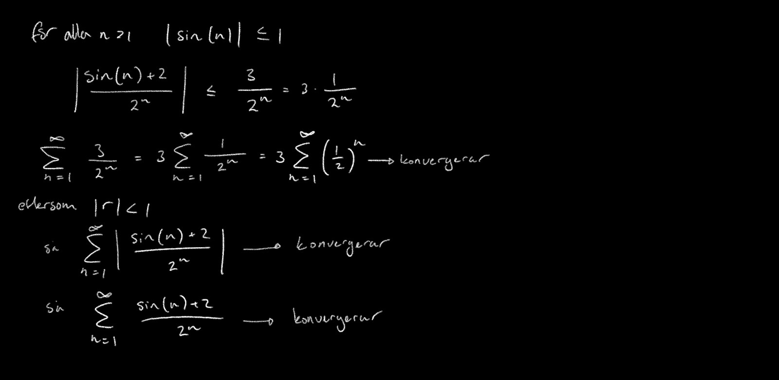
avgör om en serie konvergerar eller divergerar

är uppgiften jag behöver hjälp med, tillsvidare har jag gjort så här mycket men vet inte riktigt om detta stämmer. 
Det du gjort ser bra ut och är en fullständig lösning.