3
svar
111
visningar
avgör om f(x,y) kontinuerlig, mha polära koordinater
hej
undrar hur man kan visa att en piecewise definerad funkttion f(x,y) är kontinuerlg i en punkt med hjälp av polära koordinater. Har bara sett exempel med epsilon delta som inte verkar fastna och tycker det är enklare att beräkna gränsvärden med polära koordinater.
tack på förhand!
Har du ett exempel?
Laguna skrev:Har du ett exempel?

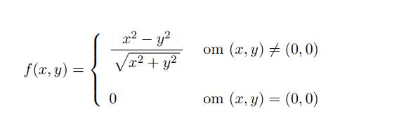
man ska avgöra ifall funktionen f(x,y) är kontinuerlig i punkten (x,y)=(0,0)
Polära koordinater verkar rätt trevligt. Hur blir det då?