Avgör om funktionerna är differentierbara
Har fastnat här med hur man avgör om en funktion är differentierar. Ska man undersöka gränsvärdet mha l'Hopitals regeln som vanligt och se om gränsvärdet går mot 0?

L’Hospitals regel är inte applicerbar för alla situationer.
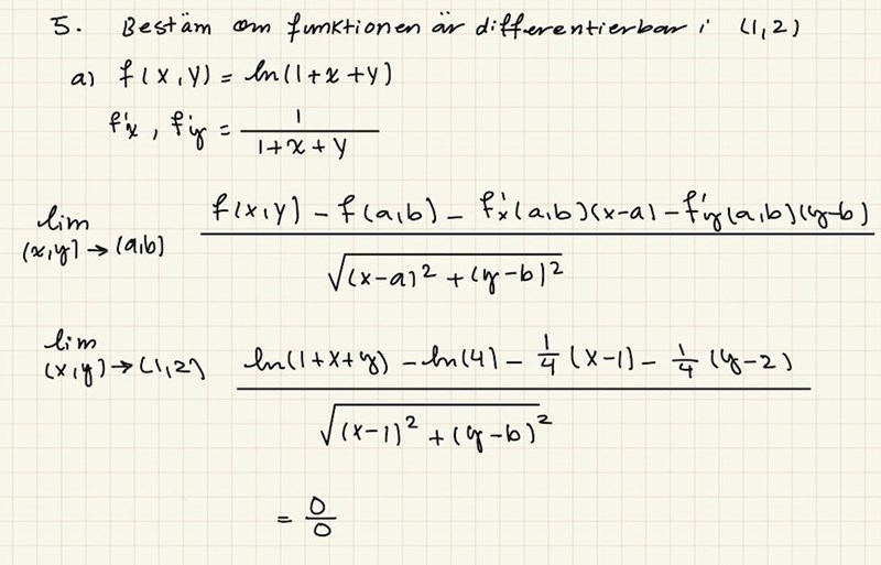
Här vill de nog att du utgår från derivatans definition, och undersöker om funktionerna verkligen är deriverbara i punkten (1,2). Ett sätt att göra detta är att undersöka om funktionen ör kontinuerlig i intervallet kring punkten, samt om derivatan när funktionen närmar sig punkten (från både höger och vänster) är lika från höger och vänster i punkten. Detta motsvarar att funktionen inte gör några hopp i punkten (kontinuitet) och inte har några vassa kanter (se exempelvis funktionen då x är noll).
Vad händer exempelvis om du kikar på derivatan från höger och vänster för den första funktionen? :)
L'Hôpitals regel fungerar bara för uttryck av formen och .
Står det någonstans att man måste använda definitionen av differentierbarhet för att lösa uppgiften? Eller får man använda olika kända satser?
Det finns hursomhelst en sats som säger att f är differentierbar i (a, b) om de partiella derivatorna till f existerar och är kontinuerliga i någon öppen omgivning till (a, b).
Är 1/(1+x+y) definierad och kontinuerlig i någon omgivning till (1, 2)?