3
svar
82
visningar
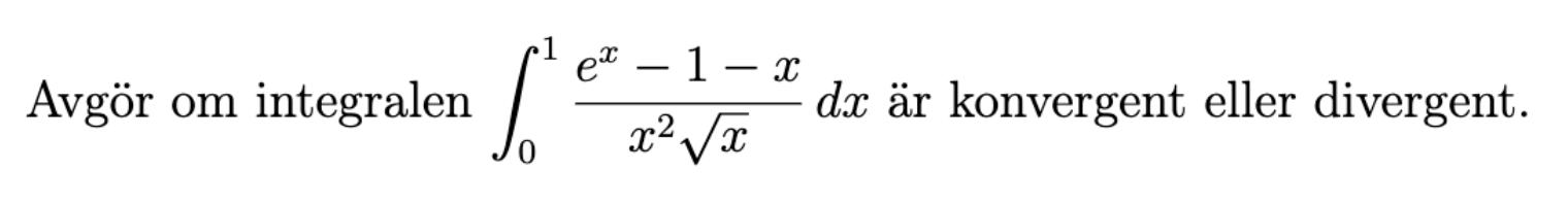
Avgör om integral är konvergent/divergent
Hej,
Jag jobbar med denna uppgift:

Jag har svårt att veta vart jag ens ska börja här. Att hitta en primitiv till denna funktion känns nästintill omöjligt. Är det någon som har ett tips på hur man kan tänka?
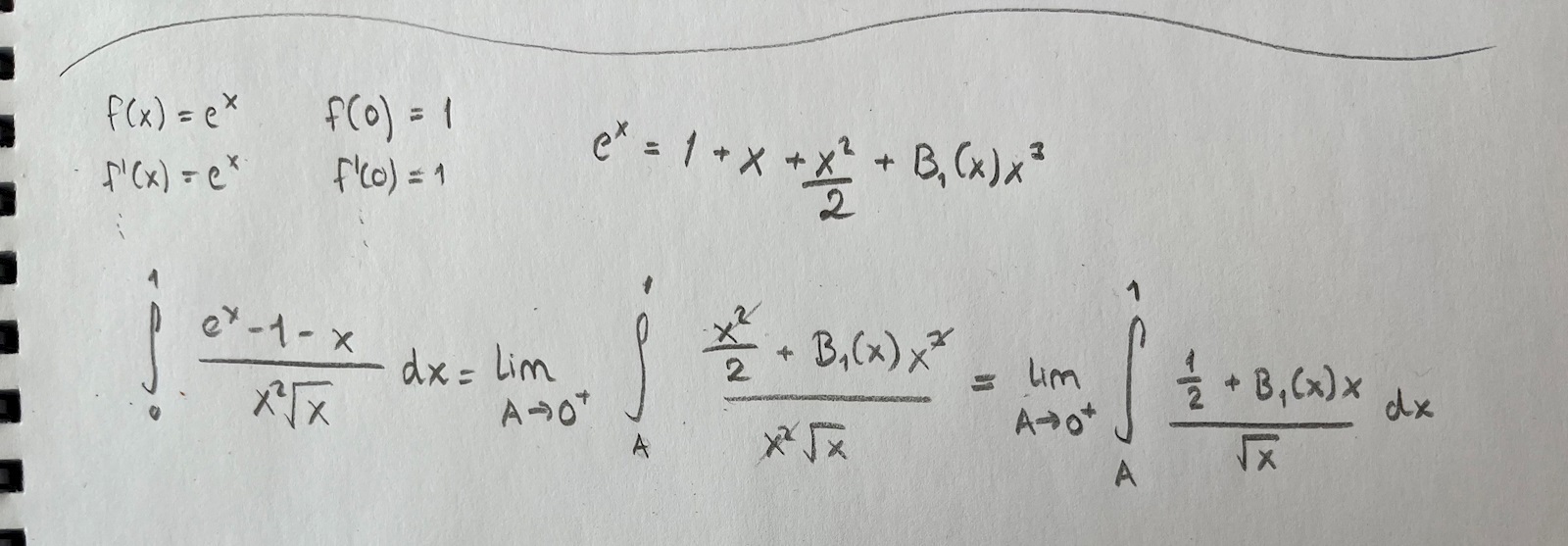
Jag skulle prova MacLaurin-utveckling.
Laguna skrev:Jag skulle prova MacLaurin-utveckling.
Typ såhär? Vet inte riktigt hur jag ska fortsätta dock

Titta på de båda termerna i täljaren var för sig.