Avgöra om f(x) är surjektiv/ injektiv
Hej! Frågan lyder
Låt f(x) = x² −10x+1 vara en funktion från ℝ→ℝ. Vilka av följande påståenden om funktionen f är sanna?
- A. f är injektiv men INTE surjektiv.
- B. f är surjektiv men INTE injektiv.
- C. f är både injektiv & surjektiv.
- D. f är varken injektiv eller surjektiv.
Såhär har jag tänkt hittlis
Funktionen f
X→Y= definitionsmängd →delmängd
ℝ (x)→ℝ (Y)
ℝ: Df (definitionsmängd)
ℝ: Y (målmängd)
R/ℝ= de reella talen (ex. 0,1,-2,-1,1,33..,-7/11, e, π,√2)
Surjektiv: ALLA element i målmängd ℝ=Vf
Injektiv: alla värden måste ha UNIK Vf (ex. f(a)=1 & f(b)=2)
Funktionen f(x) = x² −10x+1
x²= alltid vara positiv (dvs tillhöra ℕ (naturliga talen)
-10x= kan både vara positiv & negativ, icke heltal (dvs tillhöra kan tillhöra ℝ)
1= tillhör ℕ naturliga talen
Exempel värden för ℝ i f(x)
f(0)= 0² −10•0 +1= 1 (Vf∈ ℕ & ℝ)
f(1)= 1² −10•1 +1= -8 (Vf∈ℤ & ℝ)
f(-1)= -1² −10•-1 +1=12 (Vf∈ℕ & ℝ)
f(1/2)= (½)² −10•(½) +1=-15/4 (Vf∈ ℚ & ℝ)
f(π)= (π)² −10•(π) +1= -20,54.. (Vf∈ ℝ)
f(√2)= (√2)² −10•(√2) +1=-11 (Vf∈ ℝ)
Obs! Ex. √2 kan aldrig ingå i VF men kan ingå i målmängden. f(x)= EJ SURJEKTIV!
x²= kan aldrig bli √2
Det vill säga jag tror jag kommit fram till att f(x) INTE är surjektiv men vet inte riktigt hur jag ska komma vidare gällande om den är injektiv eller ej. Rent spontant tänker jag att den är det då varje reallt tal kommer ge ett unikt värde vid insättning utifrån exempel jag testat hittils.
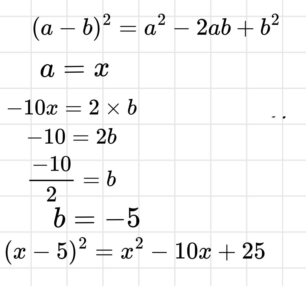
Notera att f(x) = x2 - 10x +1 = (kvadratkomplettering) = (x-5)2 - 24.
Det betyder att Vf = [-24, ).
Funktionens graf är symmetrisk kring x = 5, tex har vi att f(4) = f(6).
Således är funktionen varken surjektiv eller injektiv.
Aha oki tack så mycket!
Hur fpr du det till -24 jag får det till + 24
Aha vänta du sflytta det till f(x)= 0. Nu är jag med. Är Vf alltid då det kärde man får utanför själva kvadraten & uppåt? För en sån har typ av funktion?
Så man skulle kunna säga att den blir inte surjektiv pga symmetrin och inte injektive efter Vf inte kan vara mindre än -24?

