Avgöra om linjärt ekvationssystem har icke trivialt lösning
Hej!
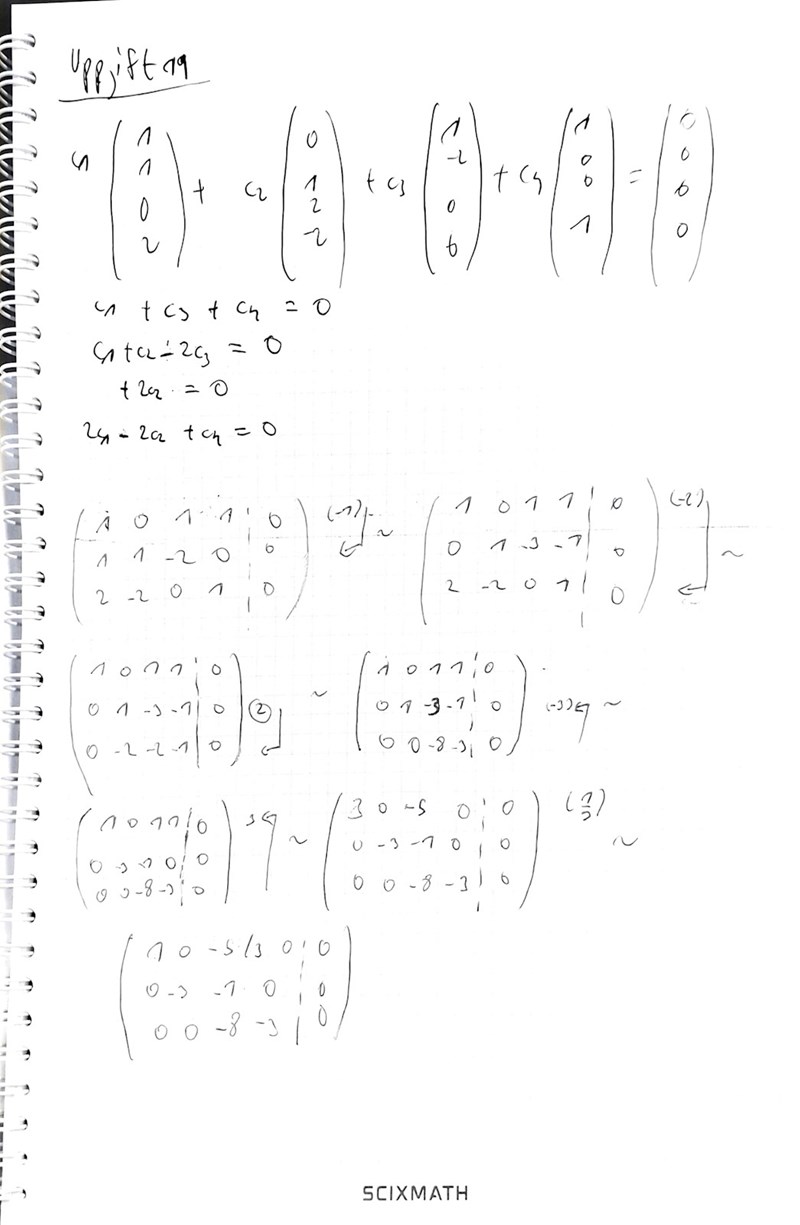
Jag vet ej om det här är bra svar på frågan,men kan man ej tänka att eftersom vi har skrivit vektorekvationen på linjärt ekvationssystem så har vi nu lika många ekvationer som obekanta. Alltså har vi en icke trivial lösning och sen ser man ju att vi har egentligen homogent linjärt ekvationssystem på bilden vilket alltid har en lösning?-1-(1).jpg?width=800&upscale=false)
Den triviala lösningen (0, 0, 0, 0) finns, men det frågas efter en icketrivial. Vilken icketrivial lösning har du hittat?
Laguna skrev:Den triviala lösningen (0, 0, 0, 0) finns, men det frågas efter en icketrivial. Vilken icketrivial lösning har du hittat?
Jaha okej, den har jag ej hittat faktiskt. Antar att jag måste gausa för att hitta den? Var osäker över hur man skulle tolka den här frågan..
destiny99 skrev:Laguna skrev:Den triviala lösningen (0, 0, 0, 0) finns, men det frågas efter en icketrivial. Vilken icketrivial lösning har du hittat?
Jaha okej, den har jag ej hittat faktiskt. Antar att jag måste gausa för att hitta den? Var osäker över hur man skulle tolka den här frågan..
Det finns flera sätt att lösa detta, du kan till exempel använda gauss-elimination. Du behöver dock inte hitta vad de eventuella icke-triviala lösningarna är, bara avgöra om de finns
Hondel skrev:destiny99 skrev:Laguna skrev:Den triviala lösningen (0, 0, 0, 0) finns, men det frågas efter en icketrivial. Vilken icketrivial lösning har du hittat?
Jaha okej, den har jag ej hittat faktiskt. Antar att jag måste gausa för att hitta den? Var osäker över hur man skulle tolka den här frågan..
Det finns flera sätt att lösa detta, du kan till exempel använda gauss-elimination. Du behöver dock inte hitta vad de eventuella icke-triviala lösningarna är, bara avgöra om de finns
Jaha okej så hur avgör jag om dessa icke triviala lösningar finns? Jag ser ej riktigt detta justnu än gaus elimation?
du kanske har hört att det finns tre möjliga antal lösningar på ett ekvationssystem: ingen, en eller oändligt antal?
I detta fall har vi åtminstone en lösning eftersom den triviala lösningen finns. Så, antingen har vi bara den, eller så finns det ett oändligt antal lösningar.
Så, det finns åtminstone två sätt att lösa uppgiften. Den enklaste är troligtvis att börja Gauss-eliminera tills du fått en trappstegsform. Om du då får en eller flera rader med nollor, betyder det att du kommer får en parameterlösning (eftersom du då har fyra okända men tre eller färre ekvationer). Du har du alltså ett oändligt antal icke-triviala lösningar. Om du inte får en eller flera rader med nollor betyder det att bara den triviala lösningen finns.
Ett alternativt sätt (men som troligtvis inte är att rekommendera om du ska lösa uppgiften för hand) är att du beräknar determinanten av koefficientmatrisen vilket för en 4x4-matris kan vara ganska segt att göra för hand)z Är den inte 0 betyder det att det finns exakt en lösning, och då vet vi att det är en triviala lösningen. Är den däremot 0 finns vanligen 0 eller oändligt antal lösningar. Men eftersom vi redan konstaterat att det finns en trivial lösning så gäller att om determinanten är 0 finns oändligt antal lösnigae, dvs du har icke-triviala lösningar.
.jpg?width=800&upscale=false)