Avstånd i koordinatsystem
Jag har förstått att jag nog ska använda mig av avståndsformeln. Men jag vet inte hur jag ska göra då jag inte har alla värden
Börja med att rita en skiss, så blir allt enklare.
(Du kan lösa den med Pythagoras' sats)
Trinity2 skrev:Börja med att rita en skiss, så blir allt enklare.
(Du kan lösa den med Pythagoras' sats)
Jag har ritat en skiss nu men förstår fortfarande inte hur jag ska börja
Försök nu placera en punkt på linjen x=4 som har lika långt till origo som till (-2,6)
Kör på ögonmått tillsvidare.
Trinity2 skrev:Försök nu placera en punkt på linjen x=4 som har lika långt till origo som till (-2,6)
Kör på ögonmått tillsvidare.
Jag testade punkten (4, 4,5) och då fick jag avståndet till (-2, 6) var roten ur 38,25 och att avståndet till origo var roten ur 36,25
Rita i den punkten länge. Det duger som start. Hur ser din ritning ut nu.
Trinity2 skrev:Rita i den punkten länge. Det duger som start. Hur ser din ritning ut nu.

Bra. Byta nu ut 4.5 mot b
Dra sedan en horisontell linje från (-2,6) till linjen x=4.
Trinity2 skrev:Bra. Byta nu ut 4.5 mot b
Dra sedan en horisontell linje från (-2,6) till linjen x=4.
Jag förstår inte hur jag ska byta ut 4.5 mot b
Ska jag göra det där jag skrivit koordinaten på pappret så det blir såhär?
Mycket bra.
1. Om du ser den lilla lodräta biten ovanför (4,b) - hur lång är den?
2. Sedan, hur lång är den vågräta linjnen som du ritade tidigare, den som går från (-2,6) till linjen x=4?
3. Kan du skriva upp en ekvationen för hypotenusan som går från (-2,6) till (4,b)?
Trinity2 skrev:Mycket bra.
1. Om du ser den lilla lodräta biten ovanför (4,b) - hur lång är den?
2. Sedan, hur lång är den vågräta linjnen som du ritade tidigare, den som går från (-2,6) till linjen x=4?
3. Kan du skriva upp en ekvationen för hypotenusan som går från (-2,6) till (4,b)?
är detta rätt?
Nej, Glöm 4.5 - det finns inte längre. b skall du använda. Du tänker RÄTT, men använder "gammal och dålig" information.
Den vågräta kateten är 6 - RÄTT!
Den lodräta kateten är ????? (inte 4.5, använd b och fundera ut hur lång den är, du klarade det tidigare.)
Låt hypotenusan vara x för tillfället.
Skriv upp Pythagoras' sats för triangeln
Trinity2 skrev:Nej, Glöm 4.5 - det finns inte längre. b skall du använda. Du tänker RÄTT, men använder "gammal och dålig" information.
Den vågräta kateten är 6 - RÄTT!
Den lodräta kateten är ????? (inte 4.5, använd b och fundera ut hur lång den är, du klarade det tidigare.)
Låt hypotenusan vara x för tillfället.
Skriv upp Pythagoras' sats för triangeln
Vilken triangel är det jag vill göra Pythagoras på?
är det den nya triangeln som bildades ovanför punkten (4. 4.5)
Exakt!
(Fast punkten heter numera (4,b).
Trinity2 skrev:Exakt!
(Fast punkten heter numera (4,b).
detta e allt jag kommer fram till vilket inte känns rätt
Nej, det är inte rätt.
Den vågräta kateten är 6 lång (2+4=6) . Det är rätt.
Den lodräta kateten är 6-b lång - eller hur?
Vad blir Pythagoras' sats om hypotenusan kallas x?
Trinity2 skrev:Nej, det är inte rätt.
Den vågräta kateten är 6 lång (2+4=6) . Det är rätt.
Den lodräta kateten är 6-b lång - eller hur?
Vad blir Pythagoras' sats om hypotenusan kallas x?
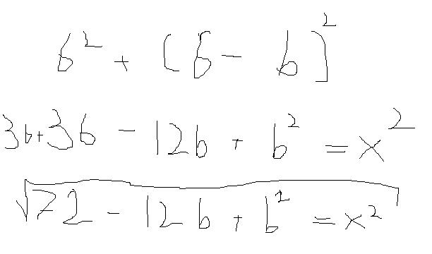
Hur ser detta ut?
Du behöver använda en kvadreringsregel (eller parentesmultiplikation) på (6-b)2 - det är inte lika med 62+b2.
Smaragdalena skrev:Du behöver använda en kvadreringsregel (eller parentesmultiplikation) på (6-b)2 - det är inte lika med 62+b2.
Är jag något på spåret med detta?
