1
svar
162
visningar
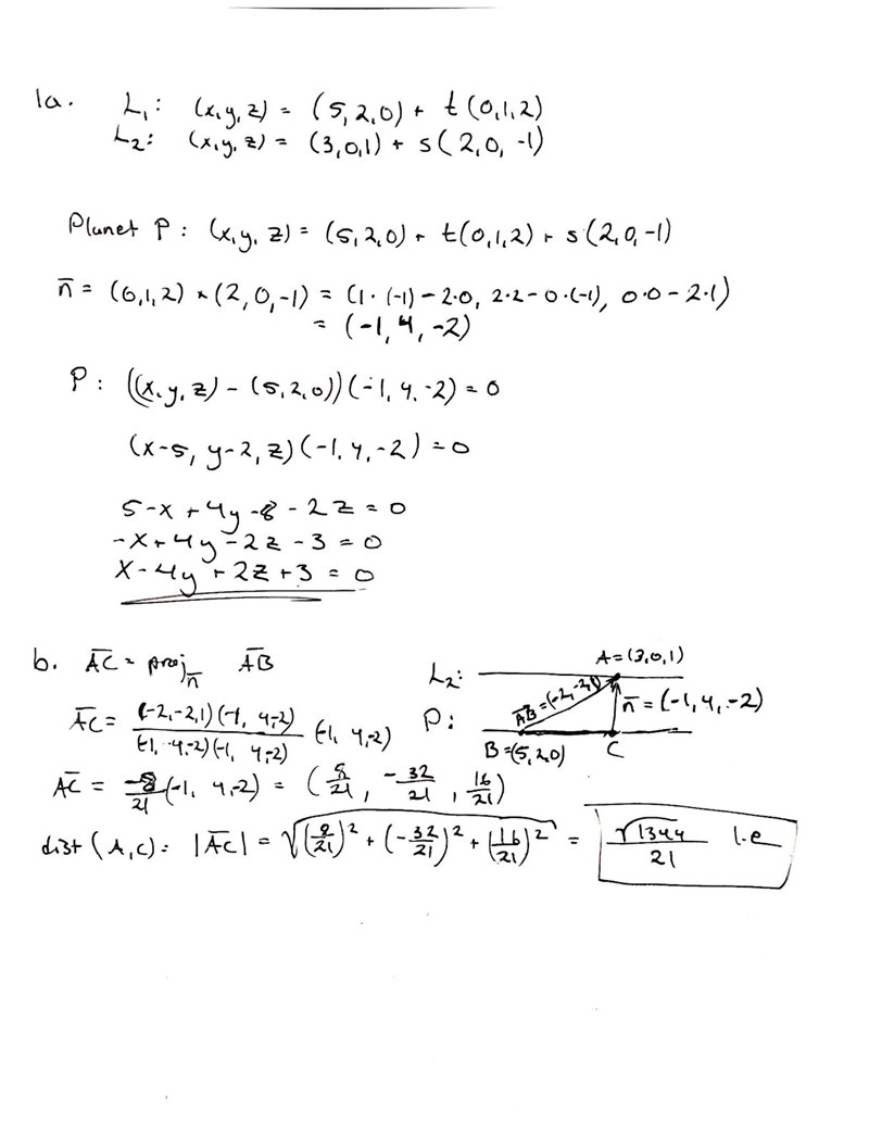
Avstånd mellan linjer
Hej, jag får fel svar på deluppgift b). Enligt facit är ratt svar att det kortaste avståndet är 8/√21. Medan jag får svaret √1344/21. Vad gör jag för fel?

Det är faktiskt inget fel här, ditt svar är bara inte skrivet på samma sätt som facit. Förkorta med så ser du att det blir samma.