3 svar
109 visningar
raybug 15
Postad: 20 maj 2024 10:03

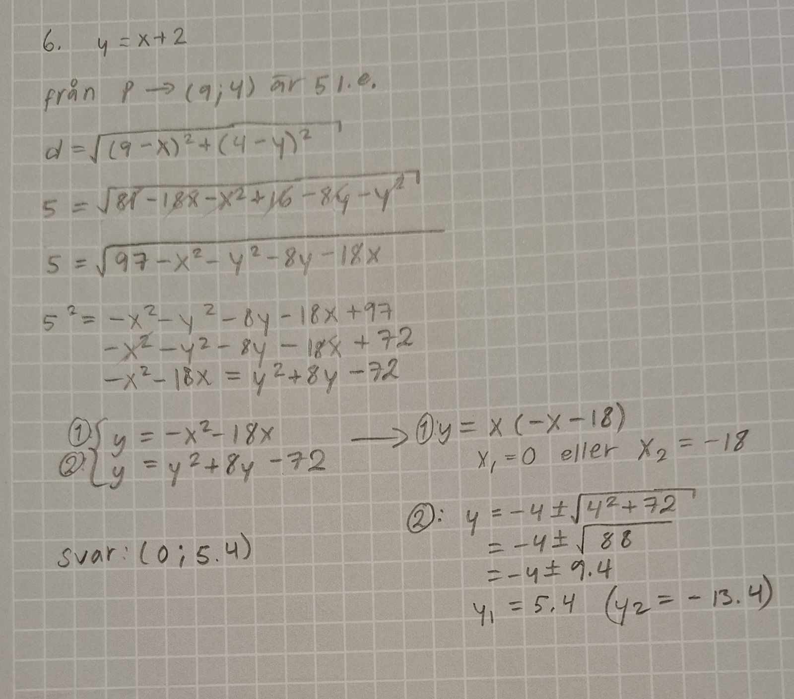
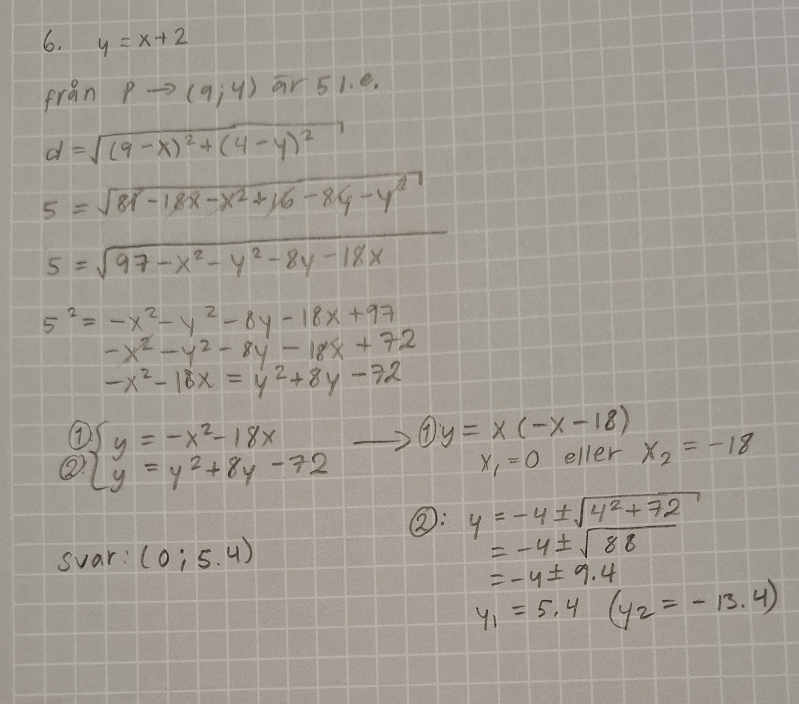
Avstånd mellan P och (9;4)

Varför får jag fel svar? Jag använde distansformeln men det gick inte.

Smaragdalena 78892 – Avstängd
Postad: 20 maj 2024 10:07
raybug skrev:

Varför får jag fel svar? Jag använde distansformeln men det gick inte.

Kan du lägga upp en bild av själva frågan också? Det är svårt att hjälpa dig när vi inte vet vad uppgiften är.

raybug 15
Postad: 20 maj 2024 10:10

6) Punkten P ligger på linjen y = x + 2.Avståndet från P till punkten (9; 4) är 5 längdenheter.Bestäm koordinaterna för punkten P.

Smaragdalena 78892 – Avstängd
Postad: 20 maj 2024 13:56

Börja med att rita linjen och punkten. Då kan du få en uppfattning till vad som kan vara ett rimligt svar. 

Använd sedan att y = x+2 och sätt in det i avståndsformeln.

Svara
Close