Avståndet mellan två skevande linjer
Hej,
Jag ska lösa följande uppgift

Hittills har jag antagit att den kortaste sträckan mellan dessa linjer är vektorn PQ och att vinkeln mellan denna och vardera linjer är rät, det är sträckan på denna vektorn PQ som jag vill beräkna för att få fram avståndet.
Jag vet även att vektorn PQ är ortogonal mot respektive linjes riktningskoefficienter och att skalärprodukten av dessa ska bli lika med noll.
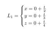
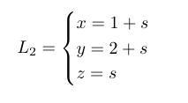
Jag började med att sätta L1=2x=3y=4z=t och L2=x-1=y-2=z=s och har fått fram följande parameterframställning

Men sedan har jag fastnat. Jag har i en videföreläsning fått förklarat att nästa steg är att ta fram de två skalärprodukterna som jag nämnde tidigare och framställa vektorn PQ genom att ta skillnaden mellan L1 och L2 men jag vet inte i vilken ordning jag ska utföra dessa eller hur de ska gå till. Har ni några tips eller hjälpmedel på hur jag kan gå vidare?
Tillägg: Är det enklare att istället beräkna normalvektorn och skillnadsvektorn och ta fram avståndet med hjälp av projektion?
Hittills har jag antagit att den kortaste sträckan mellan dessa linjer är vektorn PQ och att vinkeln mellan denna och vardera linjer är rät, det är sträckan på denna vektorn PQ som jag vill beräkna för att få fram avståndet.
Låter som en bra start, du har alltså kommit fram till att den ena linjens riktningsvektor och den andra linjens riktningsvektor båda ska vara vinkelräta mot .
Du har förvisso ännu inte några punkter att utgå från, men kan du ta fram en riktningsvektor som är vinkelrät mot såväl som ?
När du har en sådan vektor kan du lägga en annan godtycklig vektor mellan linjerna. T.ex. vektorn mellan som är en punkt på din första linje och som är en punkt på din andra linje.
Punkterna och är alltså de punkter du själv tagit fram när du fastställde linjerna på parameterform.
Projektionen av på din nya riktningsvektor är då lika lång som det vinkelräta avstånd du söker.
Du har förvisso ännu inte några punkter att utgå från, men kan du ta fram en riktningsvektor som är vinkelrät mot såväl som ?
Stort tack för hjälpen! Om jag inte misstar mig så är väl det normalvektorn som är riktningsvektorn vinkelrät mot båda?
Edit: Jag löste uppgiften och verkade vara alldeles riktigt att det var normalvektorn som jag skulle ta fram. Tack återigen, din information var verkligen hjälpsam och fick mig att förstå uppgiften!